 |
|
| Seite neu erstellt November 2015 |
 |
Kontakt |
 |
|
 |
Programmübersicht |
 |
|
 |
Bestelltext |
 |
|
|
| Infos auf dieser Seite |
... als pdf |
 |
|
 |
|
 |
Eingabeoberfläche ............. |
 |
|
 |
Allgemeines .......................... |
 |
|
 |
dünnwandige Querschnitte ... |
 |
|
 |
dickwandige Querschnitte ..... |
 |
|
 |
Oberfläche ............................ |
 |
|
 |
Koordinatensysteme .............. |
 |
|
|
 |
Querschnittsverwaltung ...... |
 |
|
|
|
 |
Objekte erzeugen ................ |
 |
|
 |
Allgemeines .......................... |
 |
|
 |
dünnw. Objekte erzeugen ..... |
 |
|
 |
dickw. Objekte erzeugen ....... |
 |
|
 |
Stahleinlagen ......................... |
 |
|
|
|
|
|
 |
Objekte modellieren ........... |
 |
|
 |
Allgemeines .......................... |
 |
|
 |
Undo-Service ......................... |
 |
|
 |
Doppelklickfunktionen ............ |
 |
|
 |
Auswählen u. Abwählen ......... |
 |
|
 |
löschen, kopieren, ausschn. |
 |
|
 |
Modellieren-Fenster ............... |
 |
|
|
 |
Hilfsmittel ............................ |
 |
|
 |
Konstruktionskoordinatensyst. |
 |
|
 |
Darstellungseigenschaften ...... |
 |
|
 |
Maßlinien u. Fangrasterpunkte |
 |
|
 |
DXF-Vorlagen ........................ |
 |
|
 |
Elemente neu nummerieren .... |
 |
|
 |
Querschnitte tabellarisch ........ |
 |
|
 |
Querschnitt drucken ............... |
 |
|
 |
Querschnitt plotten ................ |
 |
|
 |
Querschnitt visualisieren ......... |
 |
|
|
|
|
|
 |
Theorie ................................ |
 |
|
 |
Koordinatensysteme ............. |
 |
|
 |
Schwerpkt, Tr.-Momente ....... |
 |
|
 |
Verwölbung, Schubmittelpunkt |
 |
|
 |
Schnittgrößen, Spannungen .. |
 |
|
 |
Wagner-Effekt ....................... |
 |
|
 |
Schubkorrekturfaktoren ......... |
 |
|
 |
mehrteilige Querschnitte ........ |
 |
|
 |
plastische Widerstandsmom. |
 |
|
 |
Finite Elemente ..................... |
 |
|
 |
ausgewiesene Werte ............. |
 |
|
 |
alternative Berechnung .......... |
 |
|
 |
Literatur ................................ |
 |
|
|
|
|
 |
|
|
|
 |
|
|
| 4H-QUER dient der Analyse von Stabquerschnitten und der Berechnung der Querschnittskennwerte, die für die Ermittlung zur Aufnahme
von Schnittgrößen wesentlich sind. |
| 4H-QUER kann als eigenständiges Programm aus der DTE®-Schreibtischschublade heraus
aufgerufen werden. |
Viele pcae-Rechenprogramme ermöglichen den Import von in 4H-QUER definierten Querschnitten,
um diese
mit Stäben von Stabwerken oder Anschlüssen zu verknüpfen. |
|
| 4H-QUER unterscheidet auf oberster Ebene zwischen dünnwandigen und dickwandigen Querschnitten. |
|
|
|
Dünnwandige Querschnitte werden als Netzwerk von Knotenpunkten und diese
verbindende Linien beschrieben. |
Linien können gerade oder kreisbogenförmig sein und verfügen über eine Dicke,
die als konstant oder linear veränderlich festgelegt werden
kann. |
An den Linienenden können Ausrundungen definiert werden, die den Übergang
von einer Linie zur nächsten beschreiben. |
| An den freien Enden können darüber hinaus Abschrägungen angegeben werden. |
Dies alles stellt sicher, dass die Profile des
DTE®-Profilmanagers (mit Ausnahme
der Elliptischen Rohre) geometrisch korrekt beschrieben werden können. |
|
Nebenstehend ist ein typisches Beispiel eines dünnwandigen Querschnitts dargestellt.
Es besteht aus 6 Knotenpunkten
und 5 Linien, die gemeinsam ein Doppel-T-Profil der
IPN-Familie abbilden. |
| Man beachte, dass die meisten pcae-Programme beim Import von 4H-QUER-Querschnitten einen bestimmten Typ vorschreiben! |
| Hierbei sind die dünnwandigen Querschnitte i.d.R. dem Stahlbau zugeordnet. |
|
 |
|
|
|
|
| Dickwandige Querschnitte werden als polygonal umrandete Flächen eingegeben. |
| Die einzelnen Polygonabschnitte können
gerade oder kreisbogenförmig sein. |
| Wie dem nebenstehenden Beispiel entnommen werden kann, können zusätzlich zur Außen-kontur
weitere Polygonzüge zur Definition von Aussparungen erzeugt werden. |
|
 |
|
| Weiterhin können dem Querschnitt punkt- und linienförmige Stahleinlagen sowie Spannstähle mit Hüllrohren hinzugefügt
werden. |
| Auf diese Weise lassen sich Netto-, Brutto- und ideelle Querschnittswerte ermitteln. |
| In den pcae-Stabwerksprogrammen
sind dickwandige Querschnitte den Stahlbeton- und Holzstäben zugeordnet. |
|
|
|
| Nachfolgend ist das 4H-QUER-Bearbeitungsfenster im Normalmodus dargestellt. |
|
 |
|
| Hierin bedeuten |
|
|
|
|
| Erzeugung eines neuen Querschnitts. |
| Der Inhalt des Konstruktionsfensters wird gelöscht und der Zustand wird auf
voreingestellte Werte gesetzt. |
| Der Benutzer wird gefragt, ob ein dünn- oder ein dickwandiger Querschnitt
erstellt werden soll. |
|
|
|
|
| Laden eines gespeicherten Querschnitts. |
| Das Eigenschaftsblatt zur Verwaltung gespeicherter Querschnitte
wird auf der Seite Verwaltung erläutert. |
|
|
|
|
| Speichern des aktuell bearbeiteten Querschnitts |
|
|
|
|
| Bei dickwandigen Querschnitten werden die Schubkennwerte mithilfe eines Finite-Elemente-Programms ermittelt. Da dies einen kurzen Augenblick dauert, wird die Berechnung erst auf Anforderung durch Anklicken
des Abacus-Buttons gestartet. |
|
|
|
|
| Der aktuell bearbeitete Querschnitt wird auf dem Drucker ausgegeben. |
| Weitere Informationen zur Druckausgabe s. Querschnitt drucken. |
|
|
|
|
| Der aktuell bearbeitete Querschnitt wird in einem vorgegebenen Maßstab in eine Plotdatei geschrieben. |
| Zur Weiterverarbeitung
wird das DTE®-eigene Planerstellungsmodul aufgerufen. |
|
|
|
|
| Der aktuell bearbeitete Querschnitt wird an das DTE®-eigene FotoView-Programm zur realistischen dreidimensionalen
Darstellung weitergegeben. |
|
|
|
|
| Durch Anklicken des Zoom-Buttons erscheint ein Fadenkreuz im Konstruktionsfenster, mit dem ein rechteckförmiger
Teilbereich ausgewählt werden kann, der dann vergrößert dargestellt wird. |
|
|
|
|
| Mithilfe dieses Buttons wird auf den vorangegangenen Zoomzustand zurückgesprungen. |
|
|
|
|
| Dieser Buttons stellt sicher, dass der gesamte Arbeitsbereich im Fenster erscheint. |
| Die Größe des Arbeitsbereichs
kann vom Benutzer festgelegt werden. Näheres hierzu s. Darstellungseigenschaften. |
|
|
|
|
| Aufruf dieses Hilfedokuments |
|
|
|
|
| Ende der Bearbeitung von Querschnitten mit 4H-QUER. Das Fenster wird geschlossen. |
| Wurde 4H-QUER von anderen pcae-Programmen zur Übernahme von Querschnitten aufgerufen, erfolgt eine Nachfrage, ob der aktuelle Querschnitt
übergeben werden soll. |
|
|
|
|
|
|
| Es werden drei Register angeboten |
|
|
| Dies ist der Normalmodus von 4H-QUER. Hier können Querschnitte mit grafischen Hilfsmitteln konstruiert werden.
Entsprechende Werkzeuge werden bereitgestellt. |
|
|
|
|
Im Register Tabelle können dieselben Daten tabellarisch eingegeben, überprüft und
geändert werden. |
|
|
|
|
| Im Ergebnisregister werden Ergebnisse des aktuellen Querschnitts dargestellt, die sich (wie etwa Funktionsverläufe) nicht an einzelnen
Parametern festmachen lassen. |
|
|
|
|
|
|
Im Konstruktionsfenster werden die Objekte Knotenpunkte und Linien (bei dünnwandigen Querschnitten)
bzw. Polygonzüge (bei dickwandigen Querschnitten) dargestellt. |
| Objekte können dort durch Anklicken oder Umfahren (Rechteck aufspannen)
ausgewählt werden. |
| Ausgewählte Objekte können bearbeitet (modelliert) werden. |
|
|
| Konstruktionsschalttafeln - 4 |
|
|
Die Konstruktionsschalttafeln werden nur im Normalmodus (Konstruktionsregister) angeboten und dienen der
grafischen Modellierung
der aktuell im Konstruktionsfenster definierten Objekte. |
|
|
| Hinzufügen neuer Elemente zum aktuellen Querschnitt. |
| Die hierdurch hervorgerufenen
Auswahlmenüs unterscheiden sich bei dünnwandigen und dickwandigen Querschnitten. Näheres s. Objekte erzeugen. |
|
|
|
|
| ... ausgewählte
Objekte können verschoben, verdreht, vergrößert, gespiegelt, ausgerichtet und verschnitten werden. Näheres s. Modellieren. |
|
|
|
|
| ... alle ausgewählten Objekte werden abgewählt |
|
|
|
|
| ... alle ausgewählten Objekte werden gelöscht |
|
|
|
|
| ... alle ausgewählten Objekte werden gruppiert. |
| Die Objekte einer derart erzeugten
Gruppe lassen sich nur noch gemeinsam auswählen. |
| Darüber hinaus sind Gruppen vor bestimmten Modellierungsaktionen
geschützt. |
|
|
|
|
... die ausgewählten Objekte werden kopiert. Diese Funktion kann auch
über die Tastatur
mit [Strg][C] initiiert werden. |
|
|
|
|
| ... die ausgewählten Objekte werden ausgeschnitten. |
| Das Ausschneiden entspricht
dem Kopieren, jedoch werden die ausgewählten Objekte danach im Konstruktionsfenster gelöscht. |
| Diese Funktion kann auch
über die Tastatur mit [Strg][X] initiiert werden. |
|
|
|
|
... die zuvor kopierten Objekte werden eingefügt. Diese Funktion kann auch
über die Tastatur mit [Strg][P]
initiiert werden. |
|
|
|
|
... die letzte Modellierungsaktion wird rückgängig gemacht. Diese Funktion kann auch
über die Tastatur
mit [Strg][Z] initiiert werden. |
|
|
|
|
| In einem speziellen Eigenschaftsblatt kann ein Hintergrundraster (mit
Fangrasteroption) definiert und eingeblendet werden. Näheres s. Maßlinien und Fangrasterpunkte. |
|
|
|
|
| ... eine DXF-Datei kann als Hintergrundbild
geladen werden. |
Auch für die Kontrollpunkte der DXF-Vorlage kann eine Kontrollpunktanziehung definiert werden.
Näheres s. DXF-Vorlagen. |
|
|
|
|
| Diese Schaltfläche dient dem An- bzw. Abschalten des Konstruktionskoordinatensystems (KKS). |
| Hiermit können Punkte untereinander vermessen und Abstände korrigiert werden. |
|
|
|
|
| ... Knoten und Linien können auf Basis einer geometrischen Ordnung neu durchnummeriert werden |
|
|
|
|
| Aufruf des Darstellungseigenschaftsblatts. |
Hierin wird bestimmt mit welchen Informationen der Querschnitt im Konstruktionsfenster dargestellt
werden soll. Ferner werden Dimensionen und Voreinstellungen festgelegt. |
|
|
|
|
|
|
| Hier werden nützliche Informationen und ggf. Interaktionsaufforderungen eingeblendet. |
|
|
|
| Hier werden die zum aktuellen Zustand des Querschnitts gehörenden statischen Kennwerte angezeigt. |
| Hierzu wird
der Querschnitt nach jeder Modellierungsaktion neu berechnet. Allein die Schubkennwerte dickwandiger Querschnitte
müssen separat durch Anklicken des Abacus-Buttons in der Hauptbuttonleiste angefordert werden. |
Die Bedeutungen der
einzelnen ausgewiesenen Werte werden im theoretischen Kapitel von 4H-QUER
ausgewiesene Werte erklärt. |
|
|
|
| In 4H-QUER wird zwischen drei Koordinatensystemen unterschieden. |
|
|
| ist das Beschreibungskoordinatensystem. |
| x steht stets senkrecht auf dem Querschnitt. |
Im Konstruktionsfenster
zeigt y nach links und z
nach unten. |
| Die Lage des Nullpunkts ist beliebig und kann vom Anwender so gewählt werden,
dass die Beschreibung des Querschnitts möglichst einfach gerät. |
|
|
|
|
| ist das um ey und ez in den Schwerpunkt verschobene [x,y,z]-System |
|
|
|
|
ist das um den Hauptachsendrehwinkel α um die
l-Achse verdrehte [l,m,n]-System |
|
|
|
 |
|
|
|
|
 |
|
| Sollen Querschnitte gespeichert oder gespeicherte Querschnitte in das Konstruktionsfenster geladen oder zu bestehenden
Objekten hinzugefügt werden, erscheint das Eigenschaftsblatt Verwaltung gespeicherter Querschnitte. |
|
 |
|
| Die Querschnitte werden in übersichtlicher Form in vom Benutzer angelegten Ordnern gespeichert. |
| Alle Ordner befinden sich im 4H-QUER -
Hauptordner. |
Wenn auf dem Rechner bereits die Vorgängerversion von 4H-QUER installiert war, existiert der Ordner
aus 4H-QUER
Vorgängerversion mit den Unterordnern dünnwandige Querschnitte und dickwandige Querschnitte. |
Die Ordner
( ) werden im linken Fenster des Eigenschaftsblatts
zur Auswahl und Bearbeitung in einer
Baumstruktur angeboten. Oberhalb dieses Fensters sind Buttons zur Bearbeitung
der Ordnerstruktur lokalisiert. |
|
|
| Erzeugen eines neuen Ordners im aktuell ausgewählten Ordner |
|
|
|
|
| Umbenennen des aktuell ausgewählten Ordners |
|
|
|
|
| Kopieren des aktuell ausgewählten Ordners |
|
|
|
|
der aktuell ausgewählte Ordner wird in eine
externe pcae-Paketdienstdatei geschrieben |
|
|
|
|
| Löschen des aktuell ausgewählten Ordners |
|
|
|
|
| Ausschneiden des aktuell ausgewählten Ordners |
|
|
|
|
| Einfügen des kopierten oder ausgeschnittenen Ordners in den aktuell ausgewählten Ordner |
|
|
|
|
der Inhalt einer externen pcae-Paketdienstdatei
wird in den aktuellen Ordner geladen |
|
|
|
|
|
| pcae-Paketdienstdateien können zur Sicherung und zum Austausch benutzereigener Daten verwendet werden. |
|
| Im mittleren Fenster werden die Querschnitte angezeigt, die sich im aktuell ausgewählten Ordner befinden. |
An dem
Symbol ist bereits zu erkennen, ob es sich bei dem Querschnitt um einen dünnwandigen
( ) oder
einen dickwandigen
( ) Querschnitt handelt. |
| Ein ausgewählter Querschnitt
wird im Vorschaufenster dargestellt. |
|
| Oberhalb des mittleren Fensters befinden sich Buttons zur verwaltungstechnischen Bearbeitung
der Querschnitte. |
|
|
| Erzeugen eines neuen Querschnitts im aktuell ausgewählten Ordner |
|
|
|
|
Umbenennen des aktuell ausgewählten
Querschnitts |
|
|
|
|
| Kopieren des aktuell ausgewählten Querschnitts |
|
|
|
|
| der aktuell ausgewählte Querschnitt wird in eine externe pcae-Paketdienstdatei geschrieben |
|
|
|
|
| Löschen des aktuell ausgewählten Querschnitts |
|
|
|
|
Ausschneiden des aktuell ausgewählten
Querschnitts |
|
|
|
|
| Einfügen des kopierten oder ausgeschnittenen Querschnitts in den aktuell ausgewählten Ordner |
|
|
|
|
|
| Die Querschnittsverwaltung bietet keine undo-Aktion an. Jedoch werden gelöschte Querschnitte zunächst in einen
automatisch temporär erzeugten Ordner mit der Bezeichnung gelöschte Querschnitte gespeichert. |
| Ein versehentlich gelöschter Querschnitt kann über den ausschneiden/einfügen-Mechanismus
wieder in einen regulären Ordner integriert werden. |
| Wird die Bearbeitung mit 4H-QUER beendet, wird dieser
temporäre Ordner mitsamt seinem Inhalt endgültig gelöscht. |
| Je nach Kontext, aus dem heraus das Eigenschaftsblatt zur Verwaltung aufgerufen wurde, bietet ein Button die
Aktionen speichern, öffnen oder einfügen an. |
|
|
|
|
|
|
 |
|
|
|
Unter dem Begriff Objekte werden bei dünnwandigen Querschnitten Knotenpunkte und Linienelemente
und bei
dickwandigen Querschnitten geschlossene Polygonzüge verstanden. |
In beiden Fällen wird die Erzeugung neuer Objekte
mit der nebenstehend dargestellten
Schalttafel eingeleitet. |
Existieren bereits Objekte im Konstruktionsfenster, werden die neu erzeugten Objekte hinzugefügt und
können gemeinsam modelltechnisch weiterbearbeitet werden. |
|
|
|
|
 |
| dünnwandige Objekte erzeugen |
|
|
 |
|
Durch Anklicken der o.a. Schalttafel erscheint das nebenstehend
dargestellte symbolische Untermenü, in dem
verschiedene Aktionen
gewählt werden können. |
|
 |
|
|
|
| Mit diesem Symbol wird die manuelle Erzeugung von Knotenpunkten und Linienelementen eingeleitet. |
| Es erscheint ein Fadenkreuz, mit dem
die zu erzeugenden Linien jeweils vom Anfangskoten zum Endknoten manuell (durch Bewegen der Maus) erzeugt werden können. Hierbei sind die Aufforderungen in der Informationszeile zu beachten! |
Wird die Lage des Endknotens mit der linken Maustaste (LMT) bestätigt, ist die Schleife beendet. Die Bestätigung der Lage
des Endknotens mit der rechten Maustaste (RMT) bewirkt, dass 4H-QUER die
Eingabe der nächsten Linie erwartet. |
| Durch Anklicken eines bereits existierenden Knotens wird die zu erzeugende Linie mit diesem verknüpft. |
| Die hier erzeugten
Linien haben eine voreingestellte Dicke, die im Darstellungseigenschaftsblatt geändert werden kann. |
|
|
|
|
| Mit diesem Symbol wird die numerische Erzeugung eines Polygonzugs eingeleitet. |
| Zunächst werden die Anfangskoordinaten
des Polygonzugs abgefragt. Hiernach sind Δy- und Δz-Koordinatenpaare einzugeben, die einen Differenzsprung zum Nachfolgeknoten
darstellen. |
| Die Erzeugung wird von einem am oberen rechten Fensterrand eingeblendeten Schaltflächenensemble unterstützt, das sich zum
größten Teil selbst erklärt. |
| Hinter dem Hammer-Button verstecken sich drei nützliche Funktionen |
 |
mit Koordinatensystem
drehen kann ein Winkel vorge-
geben werden, sodass nicht achsenparallele orthogonale Randstrukturen leicht beschrieben
werden können |
|
 |
mit Linienzugmodus umschalten kann das [Δy,Δz]-Koordinatenpaar gegen das
[Δl,α]-Wertepaar
getauscht werden |
|
 |
| mit der Funktion letzte Linie zurück kann eine falsche Eingabe rückgängig gemacht werden |
|
|
|
 |
|
|
| Durch Klicken des X-Buttons wird die Eingabe des Polygonzugs beendet. |
|
|
| |
|
| über dieses Symbol können spezielle, typisierte Querschnitte erzeugt werden. Das nachfolgend dargestellte
Eigenschaftsblatt erscheint. |
| Zunächst wird in einer Auswahlliste der Querschnittstyp bestimmt. Anschließend müssen die angebotenen
Maßlinienwerte dem gewünschten Querschnitt angepasst werden. |
|
 |
|
|
|
|
| Mit diesem Symbol können Profile des Profilmanagers geladen werden. |
Zur Auswahl wird der Profilmanager aufgerufen.
Dank der Möglichkeiten, Ausrundungen, Abschrägungen
und Linien mit gevouteten Dicken zu definieren, werden mit Ausnahme
der elliptischen Hohlprofile alle
Profile geometrisch exakt übernommen. |
Elliptische Hohlprofile werden durch vier Kreisbögen
angenähert. Hierbei ist sichergestellt, dass 1.) Höhe
und Breite korrekt sind, 2.) die vier Knotenpunkte exakt auf der
Ellipse liegen und 3.) die Kreisbögen glatt ineinander übergehen. |
|
|
|
|
Durch Anklicken dieser Schaltfläche erscheint das Eigenschaftsblatt zur Querschnittsverwaltung,
das ermöglicht, einen bereits definierten Querschnitt in das Konstruktionsfenster zu laden. Hierbei können
nur
dünnwandige Querschnitte ausgewählt werden. |
|
|
|
|
 |
| dickwandige Objekte erzeugen |
|
|
 |
|
| Wird die unter Allgemeines gezeigte Schalttafel für einen dickwandigen Querschnitt angeklickt, erscheint das nebenstehend dargestellte symbolische Untermenü, in dem
zwischen unterschiedlichen Aktionen gewählt werden kann. |
|
Mit diesem Symbol wird die manuelle Erzeugung eines Polygonzugs
eingeleitet. Es erscheint ein Fadenkreuz, mit dem
der Polygonzug Linie
für Linie mit der Maus abgefahren wird. |
| Bei einem Mausklick (linke Maustaste) wird ein
Zwischenknoten erzeugt. |
Die Schleife wird beendet, wenn der zuerst erzeugte Knotenpunkt angeklickt
und damit
der Polygonzug geschlossen wird. |
| Diese Funktion bietet sich insbesondere an, wenn zuvor ein Fangraster oder eine DXF-Vorlage
aktiviert wurden. |
|
|
|
 |
|
|
|
| Mit diesem Symbol wird die numerische Erzeugung eines Polygonzugs eingeleitet. |
| Zunächst werden die Anfangskoordinaten
des Polygonzugs abgefragt. Hiernach sind Δy- und Δz-Koordinatenpaare einzugeben, die einen Differenzsprung zum Nachfolgeknoten
darstellen. |
| Die Erzeugung wird von einem am oberen rechten Fensterrand eingeblendeten Schaltflächenensemble unterstützt, das sich zum
größten Teil selbst erklärt. |
| Hinter dem Hammer-Button verstecken sich drei nützliche Funktionen |
 |
mit Koordinatensystem
drehen kann ein Winkel vorge-
geben werden, sodass nicht achsenparallele orthogonale Randstrukturen leicht beschrieben
werden können |
|
 |
mit Linienzugmodus umschalten kann das [Δy,Δz]-Koordinatenpaar gegen das
[Δl,α]-Wertepaar
getauscht werden |
|
 |
| mit der Funktion letzte Linie zurück kann eine falsche Eingabe rückgängig gemacht werden |
|
|
|
 |
|
|
| Durch Klicken des X-Buttons wird der Polygonzug geschlossen und der Erzeugungsmodus beendet. |
|
|
|
|
Durch Anklicken dieser Schaltfläche erscheint das Eigenschaftsblatt zur Querschnittsverwaltung,
das ermöglicht, einen bereits definierten Querschnitt in das Konstruktionsfenster zu laden. |
| Hierbei können sowohl dickwandige
als auch dünnwandige Querschnitte ausgewählt werden. |
| Dünnwandige Querschnitte werden bei der Übernahme in dickwandige
Querschnitte umgewandelt. |
|
|
| |
|
Wird einer der typisierten Querschnitte angeklickt, erscheint ein speziell auf den
angeklickten Typ angepasstes
Eigenschaftsblatt, in dem vorgegebene Maßlinien
ausgefüllt werden können. |
| Darüber hinaus kann ein Einfügepunkt ausgewählt
werden (Punkt anklicken) und dessen Koordinaten festgelegt werden. |
|
 |
|
|
|
|
|
|
| Dem dickwandigen Querschnitt können Stahleinlagen hinzugefügt werden. |
| Im Ergebnisfenster können dann wahlweise die Netto-, Brutto- oder ideellen Querschnittskennwerte eingesehen werden. |
|
|
|
Das Eigenschaftsblatt
zur Definition von Stahleinlagen unterscheidet zwischen drei Typen, die in Registern
angeboten werden. |
|
| punktförmige Stahleinlagen |
|
| Hierbei ist der Stahlquerschnitt durch die Anzahl Stahlstäbe mit einem definierten Durchmesser oder
direkt durch Vorgabe der Querschnittsfläche anzugeben, die in ihrer Lage punktförmig konzentriert angenommen wird. |
| Die Lage ist im [y,z]-System vorzugeben. |
| Bei aktiviertem Konstruktionskoordinatensystem (KKS) kann die Vorgabe auch im KKS-System erfolgen. |
| Um die ideellen Querschnittskennwerte ermitteln zu können, muss das Verhältnis der Elastizitätsmoduln
der Stahleinlage Es zum Material des Querschnitts (meist Beton) Ec angegeben werden. |
Die Gruppenzuordnung ist innerhalb von 4H-QUER ohne Bedeu-
tung, kann aber für importierende Bemessungsprogramme von Relevanz sein. |
|
 |
|
|
| linienförmige Stahleinlagen |
|
Hierbei wird davon ausgegangen, dass sich die Stahleinlagen auf einer Strecke vom Punkt
[ya,za] bis zum Punkt [ye,ze] kontinuier-
lich verteilen. |
Die Koordinaten sind vorzugeben. Auch hierin kann das KKS
benutzt werden. |
|
 |
|
|
| Hüllrohr mit Spannstahleinlage |
|
| Hierbei sind zunächst Durchmesser und Lage des Hüllrohrs festzulegen. |
| Diese Werte beeinflussen die Netto-Kennwerte des Querschnitts. |
Des Weiteren müssen Durchmesser und Lage des
Spannstahls
im Hüllrohr festgelegt werden. |
| Alle weiteren Angaben gelten wie zuvor beschrieben. |
|
 |
|
|
|
|
|
 |
|
|
| Objekte im Konstruktionsfenster können modelliert werden. |
| Unter dem Begriff Objekte werden hier bei
dünnwandigen Querschnitten Knotenpunkte und Linienelemente und bei dickwandigen Querschnitten die einzelnen Linien und
Zwischenknoten der geschlossenen Polygonzüge verstanden. |
Unter Modellieren ist das Verändern der Formgebung der
Objekte und somit der Querschnittsgeometrie zu
verstehen. Natürlich können die Querschnitte auch tabellarisch eingegeben werden.
Dies ist jedoch i.d.R. die aufwendigere Methode. |
Die einfachste Möglichkeit, direkt in die Geometrie des Querschnitts einzugreifen, ist das manuelle Verschieben einzelner
Knoten. Hierzu müssen der Mauszeiger über dem Knoten positioniert und dann die linke Maustaste
gedrückt
werden. Der Knoten wird sich dann mit der Maus bewegen, solange die Maustaste gedrückt gehalten wird. |
| Bei dieser
Methode ist zu beachten, dass - wie bei allen manuellen Modellierungsaktionen - das exakte Positionieren nur im Rahmen
der Pixelauflösung des Bildschirms zu erreichen ist! |
| Außerdem wird die manuelle Verschiebeaktion nur für Knoten zugelassen,
die nicht mit anderen Objekten zu einer Gruppe zusammengefasst wurden. |
|
|
|
|
| Jede der nachfolgend
beschriebenen Aktionen kann mit einem Mausklick auf das nebenstehende Symbol rückgängig gemacht werden. |
| Der Undo-Service merkt
sich hierzu die Zustände der letzten zehn Aktionen und schaltet auf Anforderung stufenweise zurück. |
| Selbst wenn eine Stufe zu weit zurückgesprungen
wurde, kann dies rückgängig gemacht werden. |
| Die Undo-Funktion kann auch über die Tastenkombination [Strg][Z] aktiviert werden. |
|
|
|
|
|
| Erfährt ein Objekt im Objektfenster einen Doppelklick, erscheint das individuelle Eigenschaftsblatt dieses Objekts. |
| Da bei dünnwandigen wie auch bei dickwandigen Querschnitten jeweils Linien und Knotenpunkte angeklickt werden können,
müssen hier vier Eigenschaftsblätter erläutert werden. |
|
| individuelles Linieneigenschaftsblatt dünnwandiger Querschnitte |
|
| Wird bei einem dünnwandig beschriebenen Querschnitt eine Linie doppelt angeklickt, erscheint ihr individuelles Eigenschaftsblatt. Die Inhalte sind zeilenweise thematisch geordnet. |
| |
 |
|
| In der Zeile Liniennummer werden die Nummer und der Typ der Linie festgelegt. |
| Liniennummern sind eindeutig zu
vergeben, um Irritationen im Protokoll und bei der tabellarischen Bearbeitung zu vermeiden. 4H-QUER wird bei der Erzeugung neuer Linien stets noch nicht vorhandene Nummern vergeben. |
|
| Der Typ unterscheidet zwischen Blech und Schweißnaht. |
Während der Typ Blech einen normalen Teil des Querschnitts
beschreibt wird der Typ Schweißnaht
nur bei der Betrachtung des Schubflusses berücksichtigt. Ein Beispiel hierzu
befindet sich im Tutorium. |
|
| In der Zeile Verknüpfung werden die Nummern von Anfangs- und Endknoten ausgewiesen. |
Durch Klicken des Symbols hinter diesen
Angaben werden Anfangs- und Endknoten vertauscht. Dies hat Einfluss
auf die positive Linienrichtung und somit
auf das Vorzeichen der Schubflüsse, wie sie im Register Ergebnisse dargestellt werden. |
|
|
|
| In der Zeile Dicken wird die Dicke des Blechs angegeben, die konstant oder linear veränderlich (gevoutet) sein kann. |
|
Die Form einer Linie ist entweder gerade oder kreisbogenförmig. Die Voreinstellung ist Gerade. Durch
Umschalten
auf Kreisbogen wird das Eigenschaftsblatt um zusätzliche Eingabefelder erweitert. |
|
 |
|
Im mittleren Teil können die den Kreisbogen definierenden Größen eingegeben werden, die in der Skizze auf
der linken Seite
erläutert werden. |
| Da die Größen nicht unabhängig voneinander sind, werden bei Vorgabe eines Werts die jeweils anderen Werte
berechnet und aktualisiert. Das Ergebnis der aktuellen Einstellungen kann unter der Überschrift Vorschau überprüft werden. |
|
Durch Anklicken der nebenstehend dargestellten Schaltfläche verschwindet das Eigenschaftsblatt
temporär und gibt den
Blick frei auf die Linie. Durch Bewegen der Maus kann nun der Kreisbogen
manuell verändert werden. |
Mit einem Mausklick
wird die Position festgelegt und das Eigenschaftsblatt erscheint wieder, in dem
die derart definierten Kreisbogenwerte
angezeigt werden. |
|
|
|
|
Das Anklicken der nebenstehend dargestellten Schaltfläche bewirkt, dass der jeweils andere Teil
des Vollkreises gewählt
wird. Die Reaktion des Programms kann ausprobiert und in der Vorschauskizze überprüft werden. |
|
|
|
|
Das Anklicken der nebenstehend dargestellten Schaltfläche bewirkt, dass die Kreisbogensehne auf die
andere Seite des
Kreises springt. Auch dies wird umgehend in der Vorschauskizze angezeigt. |
|
|
|
| |
| In der Zeile Abschrägungen können Linien an freien Enden abgeschrägt werden. |
Voreingestellt sind die Werte für
die Abschrägungen 0.0, was
besagt, dass das Blech senkrecht zur Mittellinie abgeschnitten ist. |
|
 |
|
|
| In der Zeile Aktion kann festgelegt werden, ob die Linie bei Bestätigen des Eigenschaftsblatts unterteilt
werden soll. |
| Hierbei ist die Anzahl der Zwischenknoten, die kontinuierlich über die Linie verteilt werden, vorzugeben. |
|
|
|
|
|
| individuelles Knoteneigenschaftsblatt dünnwandiger Querschnitte |
|
| Wird bei einem dünnwandig beschriebenen Querschnitt ein Knotenpunkt doppelt angeklickt, erscheint sein individuelles Eigenschaftsblatt. |
Hierin wird zunächst die Knotennummer festgelegt. Knotennummern sind
eindeutig zu vergeben, um Irritationen im
Protokoll und bei der tabellarischen Bearbeitung zu vermeiden. 4H-QUER wird bei der Erzeugung neuer Punkte
stets noch
nicht vorhandene Nummern vergeben. |
|
| Weiterhin werden hier die [y,z]-Koordinaten festgelegt. Ist das Konstruktions-koordinatensystem (KKS) aktiviert, kann dies auch
bzgl. dessen Lage und Orientierung erfolgen. |
|
Letztlich wird in diesem Eigenschaftsblatt der Zugang zur Definition von Ausrundungen angeboten. Es erscheint ein Eigenschaftsblatt,
in dem die
Situation des Knotens und der angeschlossenen Stäbe dargestellt wird.
Die möglichen Ausrundungsstellen werden
nummeriert und dargestellt. |
| Hierin können die Ausrundungsradien festgelegt werden. Nach Bestätigen des Eigenschaftsblatts erscheint das Ergebnis im Konstruktionsfenster. |
|
 |
|
| |
|
|
|
|
| |
|
| individuelles Linieneigenschaftsblatt dickwandiger Querschnitte |
|
| Wird bei einem dickwandig beschriebenen Querschnitt eine Linie doppelt angeklickt, erscheint ihr individuelles Eigenschaftsblatt. |
 |
|
| Hierin werden im oberen Bereich zunächst Angaben zum gesamten Polygonzug gemacht. |
Bezeichnung und Typ sind festzulegen. Ein Polygonzug ist entweder vom Typ Außenberandung oder
vom Typ Aussparung. |
| Eine Aussparung muss stets vollständig in einem
Polygonzug vom Typ Außenberandung liegen. |
| Durch Klicken des Mülleimersymbols wird der gesamte
Polygonzug gelöscht. |
| Unter der Überschrift Linie kann die Linie zum Kreisbogen erklärt oder
unterteilt werden. Die daraus resultierenden Interaktionsmöglichkeiten und Programmreaktionen wurden bereits im Eigenschaftsblatt
der Linien dünnwandiger Querschnitte vorgestellt. Weitere Informationen s. dort. |
|
|
|
|
|
| individuelles Knoteneigenschaftsblatt dickwandiger Querschnitte |
|
Wird bei einem dickwandig beschriebenen Querschnitt ein Knotenpunkt doppelt angeklickt, erscheint sein
individuelles
Eigenschaftsblatt. |
Es ist identisch zum entsprechenden Eigenschaftsblatt von Knoten dünnwandiger Querschnitte; nur können
hier keine Ausrundungen definiert werden. |
|
|
|
|
|
| individuelles Gruppeneigenschaftsblatt |
|
Wird bei dünnwandigen Querschnitten ein Objekt, das zuvor mit anderen Objekten zu
einer Gruppe zusammengefasst wurde,
doppelt angeklickt, erscheint das individuelle Gruppeneigenschaftsblatt. |
| Hierin wird einzig die Möglichkeit angeboten, die Gruppe wieder aufzulösen. |
|
 |
|
|
|
|
|
|
|
Die im Konstruktionsfenster dargestellten Objekte können durch
einfaches Anklicken oder durch Umfahren
ausgewählt und wieder abgewählt werden. |
Mittels
Aufspannen eines Rechtecks durch Mausbewegung bei gedrückter linker Maustaste werden beim
Lösen der Maustaste alle Objekte ausgewählt, die sich vollständig im
Rechteck befinden. |
| Ausgewählte Objekte werden rot markiert. |
| Werden ausgewählte Objekte neuerlich
angeklickt oder umfahren, werden sie wieder abgewählt. |
| Zu einer Gruppe zusammengefasste Objekte können nur
gemeinsam aus- bzw. abgewählt werden. |
|
|
| Die nebenstehend dargestellte Schaltfläche stellt den Zustand alle Objekte abgewählt her. |
|
|
|
| Die im nachfolgenden
Absatz beschriebenen Modellierungstechniken werden ausschließlich auf die ausgewählten Objekte angewandt. |
|
|
 |
| ausgewählte Objekte löschen, kopieren, ausschneiden, einfügen, gruppieren |
|
|
 |
|
| Die nachfolgenden Operationen können bei Bearbeitung dünnwandiger Querschnitte genutzt werden. |
| Die
Funktion Löschen wird auch bei dickwandigen Querschnitten angeboten. |
|
|
| Löschen: Durch Klicken der nebenstehend dargestellten Schaltfläche werden alle ausgewählten Objekte gelöscht. Das Drücken der [Entf]-Taste auf der Tastatur besitzt die gleiche Funktion. |
|
|
|
|
Kopieren: Alle ausgewählten Objekte werden in einen
programminternen Speicher kopiert. Alternativ
kann die [Strg][C]-Kombination
auf der Tastatur genutzt werden. |
|
|
|
|
| Ausschneiden: Alle ausgewählten Objekte werden in einen
programminternen Speicher kopiert und im Konstruktionsfenster gelöscht ([Strg][X]-Kombination auf der Tastatur). |
|
|
|
|
| Einfügen: Der Inhalt des programminternen Speichers wird im
Konstruktionsfenster eingefügt ([Strg][V]-Kombination auf der
Tastatur). |
|
|
|
|
| Gruppieren: Alle ausgewählten Objekte werden zu
einer Gruppe zusammengefasst. |
|
|
|
|
|
|
|
| Durch Klicken der dargestellten Schaltfläche erscheint das Modellieren-Fenster auf dem Sichtgerät (s.u.). |
Hierin werden Aktionen wie Verschieben, Verdrehen, Vergrößern und Spiegeln etc. ausgewählter
Objekte eingeleitet. |
|
|
Das Fenster kann neben
dem 4H-QUER-Fenster positioniert werden, um den Blick auf das Konstruktionsfenster
nicht zu versperren, und bietet
seine Funktionen in sechs Registern an. |
| Bei dünnwandigen Querschnitten werden in (fast) allen Registern die Optionsschalter auf Duplikat anwenden und anschließend bereinigen angeboten. |
|
|
|
Ist dieser Schalter aktiviert, wird die angeforderte Aktion nicht mit den ausgewählten Objekten selbst, sondern
mit
einer zuvor erzeugten Kopie der ausgewählten Objekte durchgeführt. |
|
|
|
Die Konstruktion von Linien und Knoten wurde bereits als Netzwerk vorgestellt. Bei einem Netzwerk werden
die Knoten
untereinander mit Linien verbunden. |
| 4H-QUER macht sich dies bei der Ermittlung des Schubflusses zu Nutze. Der Schub fließt
von einer Linie zu den anderen am selben Knoten angeschlossenen Linien. Bei geschlossenen Systemen ergibt sich hierdurch
zudem ein Ringfluss, der besonders geeignet ist, Torsionsmomente aufzunehmen. |
| Bei der Netzwerkbeschreibung in
grafischer Form existiert jedoch eine Falle, wie die folgende Skizze zeigt. |
|
 |
|
| Im Teil a) sind zwei Linien zu erkennen. Linie 1 verbindet die Knoten 1 und 2. Linie 2 verbindet die Knoten 3 und 4. |
| Auch wenn es geometrisch so aussieht, es besteht keine Verbindung zwischen den beiden Linien. |
In der Teilskizze b) ist diese
Situation bereinigt. Linie 1 verbindet nun die Knoten 1 und 4 und eine neu
hinzugefügte Linie 3 verbindet die Knoten 4 und 2. Ein Schubfluss zwischen den Linien 1, 2 und 3 ist
nun über den Knoten 4 möglich. |
|
Jedoch kann die automatische Bereinigung auch nicht gewünschte Effekte nach sich ziehen. Betrachten wir,
wie sich eine nachfolgende Verschiebeaktion des Knotens 4 in den Teilskizzen a) und b) auswirkt. |
|
 |
|
Da der
Knoten 4 in Skizze a) keine Verbindung zur Linie 1 besitzt, hat die Verschiebeaktion allein Auswirkungen
auf die Form
der Linie 2. In Skizze b) betrifft die Verschiebeaktion aber alle drei angeschlossenen Linien. |
Wenn nachfolgende Modellierungsaktionen auf soeben modellierte Teilbereiche angewandt werden sollen,
ist der Optionsschalter ggf. zu deaktivieren. |
|
|
| ausgewählte Objekte verschieben |
|
|
| Im ersten Register des Modellieren-Fensters werden Aktionen zum Verschieben ausgewählter Objekte
angeboten. |
Die Symbole über den alternativen Schaltflächen weisen auf eine horizon-
tale, eine vertikale und eine
beliebige manuelle Verschiebeaktion hin. Des Weiteren kann eine Punkt-zu-Punkt-Verschiebeaktion eingeleitet oder eine Verschiebeaktion numerisch beschrieben werden. |
Die ersten drei Aktionen beschreiben Verschiebungen, die mit der Maus gesteuert werden. Hierbei bestimmt die Pixelauflösung des Bildschirms
ggf. die Genauigkeit des Ergebnisses. |
| Bei der Punkt-zu-Punkt-Verschiebeaktion sind Start- und Zielknoten anzuklicken. Die Verschiebung wird vom Programm aus
den Differenz-koordinaten ermittelt. |
| Bei der numerischen Verschiebung sind die Koordinaten Δy und Δz direkt
vorzugeben. Man beachte, dass Δy positiv nach links und Δz positiv nach unten verschieben! |
| Der go-Button führt die gewählte Aktion aus. |
|
 |
|
|
| ausgewählte Objekte verdrehen |
|
|
| Im zweiten Register des Modellieren-Fensters werden Aktionen zum Verdrehen ausgewählter Objekte
angeboten. |
| Hierin wird zunächst zwischen manueller und numerisch beschriebener Drehung unterschieden. |
Bei manueller Verdrehung wird die Drehung durch Bewegen der Maus und
bei numerischer Verdrehung durch Vorgabe
eines Drehwinkels festgelegt. |
| Als Drehpunkte können der Mittelpunkt, die Eckpunkte oder die Seiten-mittelpunkte eines
fiktiven, die ausgewählten Objekte umspannenden Rechtecks angegeben werden. |
| Ist das Konstruktionskoordinatensystem
aktiviert, kann auch dessen Nullpunkt zum Drehpunkt erklärt werden. |
| Der go-Button führt die gewählte Aktion aus. |
|
 |
|
|
| ausgewählte Objekte dehnen |
|
|
| Im dritten Register des Modellieren-Fensters werden Aktionen zum Dehnen ausgewählter Objekte
angeboten. |
Ausgehend von einem Festhaltepunkt werden hierbei die Abstände der Knoten zueinander den Strahlensatzgesetzen folgend vergrößert
(Faktor > 1) oder verkleinert (Faktor < 1). |
Auch eine Punktspiegelung
(Faktor < 0.0) kann manuell oder numerisch
(mit Vorgabe des Faktors) erfolgen. |
| I.A. ist bei der numerischen Dehnung der Faktor für die Dehnung in y-Richtung
gleich dem des Faktors in z-Richtung, was bewirkt, dass das Ergebnis der ursprünglichen Form ähnlich ist (gleiche
Winkel- und Längenverhältnisse). Das Schloss hinter den Zahleneingabefeldern kann geöffnet werden, um diese Bindung zu lösen. |
| Der go-Button führt die gewählte Aktion aus. |
|
 |
|
|
| ausgewählte Objekte spiegeln |
|
|
| Im vierten Register des Modellieren-Fensters werden Aktionen zum Spiegeln ausgewählter Objekte
angeboten. |
Es wird stets um die Achsen des Konstruktionskoordinatensystems (KKS) gespiegelt, das zuvor
entsprechend zu platzieren ist. Ist das KKS nicht aktiviert, kann keine Spiegelung durchgeführt werden.
Andererseits sind
die gewünschte Achse auszuwählen und der go-Button anzuklicken. |
|
 |
|
|
| ausgewählte Knoten ausrichten |
|
|
Im fünften Register des Modellieren-Fensters werden Aktionen zum Ausrichten ausgewählter Knoten
angeboten. Hierzu werden acht
Alternativen angeboten. |
| In der ersten Zeile erfolgt die Ausrichtung (von links nach rechts) |
 |
| an der größten y-Koordinate |
|
 |
| an der kleinsten y-Koordinate |
|
 |
| an der mittleren y-Koordinate |
|
 |
| an der z-Achse des Konstruktionskoordinatensystems |
|
|
|
| In der zweiten Zeile erfolgt die Ausrichtung |
 |
| an der kleinsten z-Koordinate |
|
 |
| an der größten z-Koordinate |
|
 |
| an der mittleren z-Koordinate |
|
 |
| an der y-Achse des Konstruktionskoordinatensystems |
|
|
|
| Der go-Button führt die gewählte Aktion aus. |
|
 |
|
|
| ausgewählte Linien verschneiden |
|
|
Dieses Register verfügt über keine Optionsschalter und gilt nur für
dünnwandig beschriebene Querschnitte. |
| Durch Klicken des go-Buttons werden alle ausgewählten Linien
miteinander verschnitten, wenn sie einander überlappen. |
| Hierzu werden wie in der Skizze dargestellt im Schnittpunkt der Linien
ein zusätzlicher Knoten und zwei weitere Linien erzeugt. |
|
 |
|
|
|
|
|
 |
|
 |
| Konstruktionskoordinatensystem |
|
|
 |
|
|
| Das Konstruktionskoordinatensystem (KKS) kann durch Anklicken
des nebenstehenden Buttons im Konstruktionsfenster jederzeit aktiviert bzw. deaktiviert werden. |
|
|
|
Das KKS versteht sich als Konstruktionshilfe, mit der in der Ebene sehr einfach Punkte von beliebigen
Positionen aus
vermessen werden können. |
Das aktivierte KKS kann beliebig im Darstellungsfenster positioniert und jederzeit verschoben
werden. Hierzu wird
die Maus im Nullpunkt des KKS's positioniert und mit gedrückt gehaltener linker Maustaste verschoben. |
Wird das KKS hierbei direkt über einem Knoten abgelegt, nimmt es die genaue Position des Knotens ein und
es erfolgt
eine entsprechende Meldung in der Informationszeile. |
|
 |
|
Wenn das KKS aktiviert ist, werden die Knotenkoordinaten im individuellen Eigenschaftsblatt der Knoten alternativ
zum
globalen y-z-System auch im y-z-System des KKS angeboten. |
| Zur Kenntlichmachung sind die entsprechenden Eingabefelder
grün hinterlegt. Beispielhaft kann der o.a. Abbildung entnommen werden, dass der Knoten 1 die Absolutkoordinaten
y = 60.00 cm und z = 40.00 cm hat. Er liegt 20 cm neben dem auf Knoten 5 platzierten KKS. |
Dies kann auch dem individuellen
Eigenschaftsblatt von Knoten 1 entnommen werden. Wird nun der grün
hinterlegte y-Wert in 15 cm geändert, rutscht
der Knoten 1 5.00 cm näher an den Knoten 5 heran. |
|
Das KKS kann auch verdreht werden. Hierzu wird die Maus über einem der Richtungspfeile des KKS's
positioniert und mit
gedrückt gehaltener linker Maustaste verdreht. |
Wird die Maustaste gelöst, während die Maus auf einen Knoten zeigt,
verdreht sich die entsprechende Achse
präzise auf diesen Knoten. Auch hier erfolgt eine entsprechende Meldung in der
Statuszeile. |
Wie in der nachfolgenden Abbildung zu erkennen ist, funktioniert der oben beschriebene Eingabemechanismus
auch bei schief liegenden Strukturen. |
|
 |
|
| Nach Doppelkicken des Koordinatenursprungs des KKS erscheint das Eigenschaftsblatt des
Konstruktions-koordinatensystems auf dem Sichtgerät, in dem Lage und Drehwinkel numerisch eingestellt werden
können. |
Hier können auch Inkremente festgelegt werden, die die Koordinatensystemangaben und somit die Lage des KKS
nach jeder Bestätigung des
Eigenschaftsblatts automatisch um einen konstanten Wert verändern. |
|
Da das KKS beliebig positioniert und verdreht werden kann, können
Knoten in beliebiger Form untereinander vermessen
und in ihrer ebenen
Lage konstruiert werden. |
| Das KKS kann deshalb mit einem herkömmlichen Zeichengerät verglichen
werden, dessen Arme ebenfalls dem zu zeichnenden Detail angepasst werden können. |
|
 |
|
|
| Es sei an dieser Stelle noch darauf hingewiesen, dass bestimmte Modellierungsaktionen die Aktivierung des KKS voraussetzen.
Näheres s. Modellieren. |
| Um das KKS zu deaktivieren, muss das Mülleimersymbol im
KKS-Eigenschaftsblatt oder der KKS-Aktivierungs-button angeklickt werden. |
|
|
 |
| Darstellungseigenschaften |
|
|
 |
|
|
| Durch Anklicken der nebenstehend dargestellten Schaltfläche erscheint das Eigenschaftsblatt zur Bearbeitung
der Darstellungseigenschaften. |
|
|
|
 |
|
 |
| Unter der Überschrift Darstellung wird festgelegt mit welchen Zusatzinformationen der Querschnitt im Konstruktionsfenster dargestellt werden
soll. |
|
 |
Unter Dimension der Eingabe wird festgelegt,
ob die Angaben zu Längen (auch Koordinaten) und Liniendicken
in m, dm, cm oder mm erfolgen soll. |
|
 |
| Unter Voreinstellung kann
festgelegt werden, welche Liniendicke neu erzeugte Linien erhalten sollen. |
|
 |
| Die Größe des Arbeitsbereichs kann numerisch definiert werden. |
| Der beschriebene Querschnitt sollte sich sinnvollerweise vollständig darin befinden. |
| Wird der go-Button angeklickt, berechnet 4H-QUER den Arbeitsbereich derart, dass der aktuell definierte Querschnitt optimal dargestellt
wird. |
|
 |
| Die automatische Bereinigungsprozedur stellt im Konstruktionsprozess zu möglichst jedem Zeitpunkt das einwandfreie Netzwerk
sicher. Näheres s. unter Modellieren. |
Immer wenn soeben neu
erzeugte Knoten in unmittelbarer geometrischer Nähe zu bereits existierenden Knoten
oder Linien definiert werden, werden die
Objekte miteinander verbunden. Dies geht zur Verdeutlichung mit einer kleinen Animation einher. |
| Die Bereinigungsprozedur benötigt einen Fangabstand, mit dem festgelegt wird, welcher
Abstand unterschritten werden muss, damit die Bereinigungsaktion durchgeführt wird. |
|
|
|
|
 |
| Maßlinien und Fangrasterpunkte |
|
|
 |
|
|
Über die nebenstehend dargestellte Schaltfläche wird das Eigenschaftsblatt zur Definition
von Maßlinien
und Fangrasterpunkten aufgerufen. |
|
|
|
 |
|
Hierin sind zunächst die Dimension für die nachfolgenden Längenangaben und die Anzahlen (ny, nz) der
Rasterlinien
pro Koordinatenrichtung vorzugeben. |
| Anschließend sind die Startkoordinaten (y0,z0)
und die Rasterlinienabstände (dyi,dzi) einzugeben. |
Für einen Querschnitt
können bis zu sechs Gruppen von Rasterlinienblöcken vorgegeben werden. Eine
entsprechende Auswahl befindet sich im Eigenschaftsblatt oben rechts. |
Die Optionsschalter unten rechts legen fest, ob das definierte Raster im Konstruktionsfenster eingeblendet
und die
Rasterpunktanziehung aktiviert werden sollen. |
|
 |
|
| Wird das Eigenschaftsblatt im oben dargestellten Zustand bestätigt, erscheint das Raster im Konstruktionsfenster. |
| Werden nun
Linien manuell erzeugt und wird dabei darauf geachtet, dass ein Mausklick stets in der Nähe eines Rasterpunkts erfolgt, übernimmt der Knoten die exakten Koordinaten des Rasterpunkts. Es entfällt hierdurch der Nachteil des Genauigkeitsverlusts
durch die Pixelauflösung des Bildschirms. |
|
|
|
|
Durch Klicken der dargestellten Schaltfläche erscheint das Eigenschaftsblatt zum
DXF-
Vorlagen-Import. |
|
|
|
Hierin können beliebig viele DXF-Vorlagen verwaltet
werden. |
| Jede definierte Vorlage kann ausgewählt und in das Konstruktionsfenster
eingeblendet werden. |
| Mit Vorgabe von Δy und Δz kann eine Vorlage im Konstruktionsfenster verschoben werden. |
| Die Endpunkte der DXF-Linien können zur Kontrollpunkt-anziehung herangezogen werden. |
Das Einfügen einer neuen DXF-Vorlage wird durch
Anklicken des neu-Buttons eingeleitet. Es erscheint
das Fenster des
DXF(2D)-Import-Filters, in dem die gewünschte DXF-Datei ausgewählt werden muss.
Sie sollte sinnvollerweise einen Querschnitt
darstellen. |
|
 |
|
|
 |
|
Der Inhalt der DXF-Datei wird im Fenster des DXF-Importfilters dargestellt. Er kann durch gezieltes Setzen von
Filtern inhaltlich reduziert werden. |
| Durch die Definition zweier Kontrollpunkte werden Lage und Größe des
Querschnitts präzise festgelegt. |
Nach Beendigung des Filterprogramms werden die DXF-Daten in eine DXF-Vorlage umgewandelt und
in
4H-QUER importiert. |
| Nach Schließen des Eigenschaftsblatts zur Verwaltung der DXF-Vorlagen erscheint die DXF-Vorlage im Konstruktionsfenster. Analog zur Vorgehensweise bei der Fangrasterdefinition kann nun bei der manuellen Linienerzeugung die Kontrollpunktanziehung
genutzt werden. |
| Jeder Knoten, der per Mausklick in der Nähe eines Kontrollpunkts erzeugt wird, erhält die exakten Koordinaten
des Kontrollpunkts. Die nachfolgenden Abbildungen erläutern diese Abfolge. |
|
 |
|
|
 |
| Elemente neu durchnummerieren |
|
|
 |
|
|
| Durch Klicken der dargestellten Schaltfläche erscheint ein Eigenschafts-blatt, das eine schnelle
Durchnummerierung der geometrischen Objekte ermöglicht. |
|
|
|
Bei der Erzeugung neuer Objekte wird 4H-QUER stets neue (noch nicht existierende) Objektnummern vergeben. Nach Durchführung
diverser
Erzeugungs- und Modellierungsoperationen entsteht dadurch mitunter eine
unterbrochene Nummerierungsfolge. Durch
Löschaktionen entstehen z.B.
Lücken in der Reihenfolge. |
Daher kann am Ende der Modellierungsarbeiten der Wunsch bestehen, die
Knoten- und Liniennummern neu zu vergeben. |
Im nebenstehend dargestellten Eigenschaftsblatt, das bei dünnwandigen Querschnitten angeboten wird, kann dies sehr einfach
durchgeführt werden.
Ziel ist eine geschlossene Durchnummerierung, die einer aus der Geometrie erwachsenen Ordnung folgt. |
Bei dickwandigen Querschnitten werden die Knotennummern in der Reihefolge
des Polygonzugs neu durchnummeriert. |
|
 |
|
|
|
 |
| Querschnitte tabellarisch bearbeiten |
|
|
 |
|
| Alternativ zur grafischen Objektbearbeitung wird im Register Tabelle die tabellarische Bearbeitung angeboten. |
Es kann stets
zwischen den Registern Konstruktion und Tabelle hin- und hergeschaltet werden; es wird immer
der gleiche Querschnitt
bearbeitet. |
Wenngleich die grafische Bearbeitung von pcae favorisiert wird, kann auch die tabellarische Bearbeitung
Vorteile bieten. Die nachfolgende Abbildung zeigt das 4H-QUER-Fenster in der tabellarischen Bearbeitung
eines
dünnwandigen Querschnitts. |
|
 |
|
| Bild vergrößern |
 |
|
|
|
| Im Hauptfenster werden je eine Tabelle für die Knoten und eine Tabelle für die Linien angeboten. |
| Skizzen im
Ergebnisfenster erklären die einzelnen Tabellenspalten und die Bedeutung der Funktionssymbole. |
Es ist zu beachten, dass alle in
der Linientabelle angegebenen Anfangs- und Endknoten in der Knotentabelle
aufgelistet sein müssen! |
| Ausrundungen und
Abschrägungen können nur grafisch im Konstruktionsfenster definiert werden. |
|
 |
|
| Bild vergrößern |
 |
|
|
|
| Bei dickwandigen Querschnitten werden die einzelnen Polygonzüge tabellarisch erfasst. |
| Jeder Polygonzug hat eine eigene
Bezeichnung, ist von einem bestimmten Typ und hat eine zugeordnete Knotentabelle. Die Elemente der Tabelle, so sie nicht
selbsterklärend sind, werden im Ergebnisfenster erläutert. |
|
|
 |
| aktuellen Querschnitt drucken |
|
|
 |
|
|
Die Druckausgabe des aktuell geladenen Querschnitts wird durch Anklicken des nebenstehend
dargestellten
Buttons eingeleitet. |
|
|
|
| Es erscheint ein symbolisches Untermenü, in dem (von links nach rechts) |
 |
| optionale Einstellungen bzgl. des nachfolgenden
Ausdrucks festgelegt, |
|
 |
| der DTE®-eigene Viewer zur Vorschau am Sichtgerät gestartet |
|
 |
| und der
DTE®-Druckmanager zur Ausgabe des Druckdokuments aufgerufen werden kann |
|
|
|
Die optionalen Einstellungen sind selbsterklärend.
Ihre Auswirkungen können mit Hilfe des Viewers
überprüft werden. |
| Die Schaltflächen in der Kopfzeile des Eigenschaftsblatts dienen dem Speichern, Laden bzw. Setzen der Druckoptionen. |
 |
|
|
 |
| aktuellen Querschnitt plotten |
|
|
 |
|
|
| Durch Anklicken des nebenstehend dargestellten
Buttons wird die Planerstellung zum Querschnitt eingeleitet. |
|
|
|
Nach Abfrage eines Maßstabs wird ein Plan vom aktuell geladenen Querschnitts erzeugt und an das DTE®-Planerstellungsmodul
weitergeleitet, von dem aus der Plan auf einem Plotter ausgegeben oder zur weiteren
Bearbeitung schreibtischglobal gesichert werden kann. |
|
 |
|
|
 |
| aktuellen Querschnitt visualisieren |
|
|
 |
|
|
| Durch Anklicken des nebenstehend dargestellten
Buttons wird der aktuell geladene Querschnitt an das DTE®-FotoView-Programm übergeben. |
|
|
|
Hierin kann der Querschnitt dreidimensional gedreht
und aus beliebigen Richtungen
betrachtet werden. |
|
 |
|
|
|
|
 |
|
|
Die klassische Stabtheorie geht von der Formerhaltung des Querschnitts aus. Die Querschnittslage lässt sich
im lokalen
xyz-Querschnittskoordinatensystem über drei Verschiebungen ux, uy,
uz und drei Verdrehungen
φx, φy,
φz beschreiben. |
|
In der Theorie der Wölbkrafttorsion wird die Verwölbung des Querschnitts durch
das Produkt der Einheitsverwölbung ω
mit der Verwindung ψx beschrieben. |
Neben dem xyz-Querschnittskoordinatensystem, in dem der Querschnitt modelliert wird, gibt es weiterhin das durch den Schwerpunkt
S mit den Koordinaten (ey, ez) verlaufende lmn-System, dessen Achsen parallel
zu den xyz-Achsen verlaufen (Entkopplung der Fläche und der Trägheitsmomente), sowie
das durch S verlaufende
ξηζ-Hauptachsensystem (Entkopplung der Trägheitsmomente). |
Zur Beschreibung der Torsion wird der
Schubmittelpunkt M
mit den Koordinaten (yM, zM) als Drehpunkt verwendet
(z.B. normierte Einheitsverwölbung ω, Entkopplung der Biegung und Wölbkrafttorsion). |
Die Berechnung der Querschnittswerte und der Spannungen
aus Biegung erfolgt am vollständigen Modell mit Verschneidungen,
Abschrägungen und Ausrundungen. |
| Die Verteilung der Schubflüsse, der Schubspannungen und der Verwölbung längs der Mittellinien
wird am Linienmodell unter Berücksichtigung der veränderlichen Dicke ermittelt. |
|
 |
|
|
|
 |
| Schwerpunkt, Trägheitsmomente und Hauptachsen |
|
|
 |
|
| Bei einer konstanten Spannungsverteilung verschwinden die Biegemomente im Schwerpunkt. |
Die Schwerpunktskoordinaten
(ey, ez) lassen sich mit der Querschnittsfläche A und den statischen
Momenten Sy
bzw. Sz berechnen. |
|
|
|
| Mit den Trägheitsmomenten im Schwerpunkt lassen sich im linear elastischen Fall aus der Dehnung εS und den Krümmungen κm, κn die Schnittgrößen der Biegung ermitteln. |
|
|
|
| Das ξηζ-Hauptachsensystem ist bzgl. des Querschnittskoordinatensystems um den Winkel α verdreht. |
| Im
Hauptachsensystem ist das Deviationsmoment Imn gleich Null, so dass die Krümmungen und Momente der
Hauptbiegerichtungen entkoppelt sind. |
|
|
|
Der Hauptachsendrehwinkel ist bis auf ein Vielfaches von 90° bestimmt. Der Winkel wird so gewählt, dass er
bzgl.
des Querschnittskoordinatensystems betragsmäßig möglichst klein ist. |
|
|
 |
| Verwölbung und Schubmittelpunkt |
|
|
 |
|
Für dünnwandige Querschnitte berechnet sich die Wölbordinate ωD,0 für den Drehpunkt D mit den
Koordinaten
(yD, zD) als Integral des Hebelarms rD der
Querschnittspunkte zum Drehpunkt längs der Profilkoordinate s
(β: Winkel der Tangente an die Mittellinie). |
|
|
|
Es wird davon ausgegangen, dass die Verwölbung in Dickenrichtung konstant ist. Die mittlere Querschnittsdehnung
der
zugehörigen Einheitsverwölbung ωD ist Null, so dass bei reiner Verwölbung (im linear elastischen
Fall) keine Normalkraft vorhanden ist. |
|
|
|
| Die Einheitsverwölbungen mit den Drehpunkten (yD, zD) und
(yM, zM) stehen in folgender Beziehung |
|
|
|
| Der Schubmittelpunkt (yM, zM) ist der Drehpunkt, für den bei reiner Verwölbung
(im linear elastischen Fall) keine Biegemomente auftreten. Für den Abstand (ySM, zSM)
des Schubmittelpunkts vom Schwerpunkt ergibt sich |
|
|
|
|
 |
| Schnittgrößen und Spannungen |
|
|
 |
|
| Die Schnittgrößen ergeben sich durch Integration der Normal- bzw. Schubspannungen über den Querschnitt. |
Die Schnittkräfte
wirken in Richtung der verformten Querschnittsachsen, die Momente drehen um die
entsprechenden Achsen in positiver Richtung
(Rechte-Hand-Regel). |
|
|
|
Mit den Biegemomenten im Hauptachsensystem, den Torsionsschnittgrößen um den Schubmittelpunkt
und den entsprechenden Trägheitsmomenten
können im linear elastischen Fall die Normalspannungen
aus den Schnittgrößen ermittelt werden. |
|
|
|
Für dünnwandige Querschnitte werden zur Berechnung des Schubflusses T und der Schubspannung τxs in
Richtung der Profilmittellinien die statischen Momente Sη, Sζ,
Sω und die Profildicken t in Abhängigkeit der Profilkoordinate s benötigt. |
|
|
|
Tt ist dabei das primäre Torsionsmoment aus St. Venant'scher Torsion und Tw das sekundäre Torsionsmoment
aus Wölbkrafttorsion. |
Für Querschnitte mit geschlossenen Zellen kommen noch Schubspannungen
aus den Schubflüssen der
einzelnen Zellen hinzu. |
| Die Faktoren θ entsprechen den Einheitsschubflüssen der entsprechenden Schnittgröße. |
| Die Schubspannungen aus Vη, Vζ und Tw bzw.
Tt der Zellen sind nach Voraussetzung konstant in Dickenrichtung. |
Die Schubspannung aus Tt der einzelnen Querschnittslinien ist in Dickenrichtung linear veränderlich und
verschwindet auf der Mittellinie. |
|
|
|
Neben dem primären Torsionsmoment Tt tritt bei Berechnungen nach Theorie II. Ordnung unter Berücksichtigung
des Wagner-Effekts das Torsionsmoment Tσ infolge Normalspannungen auf. |
|
|
|
| Der Wagner-Koeffizient Kσ lässt sich aus den Schnittgrößen im Hauptachsensystem berechnen. |
|
|
|
Die Querschnittsstrecken ergeben sich durch Integration des Quadrats des Schwerpunktabstands rS über
den Querschnitt. |
|
|
|
|
|
Die Schubkorrekturfaktoren werden zur Ermittlung der Schubflächen bzw. Schubsteifigkeiten bei der Berechnung
von schubweichen
Stäben benötigt. |
| Die mittleren Schubgleitungen γxy und γxz stehen mit
den zugehörigen Querkräften in Beziehung. |
|
|
|
| ϑTy und ϑTz sind dabei die Einheitsschubflüsse der Querkräfte in y-
und z-Richtung. |
Aus den κ-Werten lassen sich die Schubkorrekturfaktoren in einem um den Winkel α verdrehten
Koordinatensystem berechnen. |
|
|
|
|
|
| Falls nicht alle Querschnittsteile miteinander verbunden sind, liegt ein mehrteiliger Querschnitt vor. |
| Bei einem mehrteiligen
Querschnitt wird davon ausgegangen, dass die einzelnen Teile durch Riegel oder Platten so miteinander gekoppelt sind, dass
sie sich affin zueinander verformen. |
| Den Schubmittelpunkt des Gesamtquerschnitts erhält man durch gewichtete Summation der Schubmittelpunkte der Teile. Die
Verwölbung mit dem Schubmittelpunkt (yM, zM) als Drehachse des i-ten Teils im
Gesamtquerschnitt kann aus der Verwölbung des Teils mit dem i-ten Schubmittelpunkt (yM,i,
zM,i) als Drehachse berechnet werden. |
Die Verschiebung u in Richtung der Stabachse bzw. die
Längsspannung für den linear-elastischen Fall kann
dann lokal für jedes Teil formuliert werden. |
|
|
|
Die Querschnittsteile können biegesteif oder biegeschlaff miteinander verbunden sein. Die Verteilung der
Normalkräfte hängt
vom Grad α der Biegekopplung ab (biegesteif: α = 1, biegeschlaff: α = 0). |
| Der Wert von α hat über
den Steiner-Anteil der Teile Einfluss auf die Trägheitsmomente des Gesamtquerschnitts. |
| Die Querschnittswerte des Gesamtquerschnitts erhält man durch Summation der Querschnittswerte der Teile. |
|
|
|
| Die Normalkräfte verteilen sich im Verhältnis der Teilflächen. |
|
|
|
Wenn die Krümmungen der Querschnittsteile identisch sind, lassen sich die (linear elastischen) Momente Mm,i
und Mn,i der Teile bzgl. ihrer Schwerpunkte aus den Momenten Mm und Mn des Gesamtquerschnitts berechnen. |
|
|
|
| Für die Aufteilung der Querkräfte ergeben sich dann ähnliche Beziehungen. |
|
|
|
Die Torsionsmomente und das Wölbbimoment verteilen sich im Verhältnis der Querschnittswerte auf
die einzelnen Teile. |
|
|
|
| Die Schnittgrößen des Gesamtquerschnitts erhält man durch Summation der Teilschnittgrößen. |
|
|
|
|
 |
| plastische Widerstandsmomente |
|
|
 |
|
| Die plastischen Grenzmomente können mit Hilfe der plastischen Widerstandsmomente berechnet werden. |
Die zugehörige Spannungsverteilung
erzeugt dabei keine Normalkraft; die resultierenden Momente beziehen
sich auf den Schwerpunkt. |
| Für jede Achse, um die das Grenzmoment
wirkt (z.B. m-, n-, η-, ζ-Achse), sind zwei evtl. unterschiedliche Widerstandsmomente von Interesse. |
|
| Das maximale plastische Widerstandsmoment liefert das maximal mögliche Moment um die betrachtete Achse. |
Die neutrale
Achse ist parallel zur Achse und teilt die Querschnittsfläche in zwei gleiche Teile. Das zum
Grenzmoment senkrecht wirkende
Moment kann dabei von Null verschieden sein (z.B. unsymmetrische
Querschnitte, gedrehte Hauptachsen). |
|
Die Spannungsverteilung des reduzierten plastischen Widerstandsmoments liefert das maximal mögliche Moment
um die betrachtete
Achse unter der Zusatzbedingung, dass das zum Grenzmoment senkrecht wirkende Moment
gleich Null ist. Die neutrale Achse ist evtl.
zur Momentenachse verdreht. |
|
Die Berechnung der Widerstandsmomente erfolgt mit Hilfe der Dehnungsiteration. Als Stoffgesetz wird hierbei
eine bilineare
Spannungs-Dehnungs-Beziehung verwendet. Zu dem betrachteten Moment wird iterativ ein Dehnungszustand unter Berücksichtigung der
Grenzdehnung (z.B. 20%) und der zu beachtenden Neben-
bedingungen (keine Normalkraft, evtl. kein Quermoment) ermittelt. Aus
der zugehörigen Spannungsverteilung
lassen sich das Grenzmoment und das Widerstandsmoment berechnen. |
|
|
 |
| Berechnung von Wölbfunktion und Torsionskennwerten mit der Methode der Finiten Elemente |
|
|
 |
|
Die Verwölbung der primären und sekundären Torsion bzw. des Querkraftschubs berechnen sich mit der Methode
der Finiten
Elemente aus der Potentialgleichung (in den Hauptachsenkoordinaten η,ζ) |
|
|
|
| Längs der Querschnittsränder gilt die Randbedingung (mit dem Normalenvektor (nη, nζ)) |
|
|
|
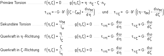
| Es werden folgende Funktionen f(η,ζ) und g(η,ζ) für die einzelnen Problemstellungen angesetzt |
|
|
|
| Dabei ist ωM die normierte Verwölbung der primären Torsion und (ηM,
ζM) der Schubmittelpunkt. Für die Torsionskennwerte ergeben sich dann |
|
|
|
|
 |
| von 4H-QUER ausgewiesene Werte |
|
|
 |
|
| In der nachfolgenden Tabelle sind die von 4H-QUER ausgewiesenen Größen zusammengestellt. |
| Die Größen erscheinen sowohl im Ergebnisfenster
des Konstruktionsregisters als auch in der Druckliste. |
|
| Fläche, Schwerpunkt + Hauptachsen |
|
|
|
|
| Abstand des Schwerpunkts in y-Richtung von der z-Achse |
|
|
| ... in z-Richtung von der y-Achse |
|
|
|
|
|
|
| Ausdehnung |
|
|
|
|
|
|
|
|
|
|
| Querschnittsbreite ( = ymax - ymin ) |
|
|
| Querschnittshöhe ( = zmax - zmin ) |
|
|
|
|
| innere Mantelfläche/cm (nur bei mehrzelligen dünnwandigen Querschnitten bzw. dickwandigen Querschnitten mit Aussparungen) |
|
|
| Mantelfläche/cm ( = Ua + Ui ) |
|
|
|
|
| Trägheitsmomente (m-n) |
|
|
| Biegeträgheitsmoment für die Biegung um die m-Achse |
|
|
|
|
| Deviationsmoment ( = 0, falls α = 0 ) |
|
|
| Widerstandsmoment für Biegung um die n-Achse zur Randspannungsermittlung bei hm+ |
|
|
|
|
| Widerstandsmoment für Biegung um die m-Achse zur Randspannungsermittlung bei hn+ |
|
|
|
|
| größter Schwerpunksabstand in positiver m-Richtung |
|
|
| ... in negativer m-Richtung |
|
|
| größter Schwerpunksabstand in positiver n-Richtung |
|
|
| ... in negativer n-Richtung |
|
|
| Trägheitsradius um die m-Achse |
|
|
|
|
|
|
| Trägheitsmomente (η-ζ) (nur für α ≠ 0) |
|
|
| Biegeträgheitsmoment für die Biegung um die η-Achse |
|
|
|
|
|
|
| Widerstandsmoment für Biegung um die ζ-Achse zur Randspannungsermittlung bei hm+ |
|
|
|
|
| Widerstandsmoment für Biegung um die η-Achse zur Randspannungsermittlung bei hn+ |
|
|
|
|
| größter Schwerpunksabstand in positiver η-Richtung |
|
|
| ... in negativer η-Richtung |
|
|
| größter Schwerpunksabstand in positiver ζ-Richtung |
|
|
| ... in negativer ζ-Richtung |
|
|
| Trägheitsradius um die η-Achse |
|
|
|
|
|
|
|
|
| Schubkennwerte |
|
|
| y-Koordinate des Schubmittelpunkts |
|
|
| z-Koordinate des Schubmittelpunkts |
|
|
| Abstand des Schubmittelpunkts vom Schwerpunkt in y-Richtung (ySM = yM - ey ) |
|
|
| ... in z-Richtung (zSM = zM - ez ) |
|
|
| η-Koordinate des Schubmittelpunkts |
|
|
| ζ-Koordinate des Schubmittelpunkts |
|
|
| Schubflächenbeiwert für Querkräfte in m-Richtung |
|
|
|
|
| Schubfläche für Querkräfte in m-Richtung ( Am = A / κm ) |
|
|
| .. in n-Richtung ( An = A / κn ) |
|
|
| Schubflächenbeiwert für Querkräfte in η-Richtung |
|
|
|
|
| Schubfläche für Querkräfte in η-Richtung ( Aη = A / κη ) |
|
|
| ... in ζ-Richtung ( Aζ = A / κζ ) |
|
|
|
|
| Wölbwiderstand bzgl. des Schubmittelpunkts (früher: CM) |
|
|
| Wölbmoment im Schwerpunkt um die y-Achse |
|
|
|
|
| Wölbwiderstand bzgl. des Schwerpunkts |
|
|
| polarer Trägheitsradius bzgl. des Schubmittelpunkts |
|
|
|
|
|
|
|
|
| Wölbwiderstandsmoment der maximalen Verwölbung |
|
|
| ... der minimalen Verwölbung |
|
|
| Querschnittsstrecke in Längsrichtung |
|
|
|
|
|
|
|
|
|
|
| plastische Kennwerte |
|
|
| maximales plastisches Widerstandsmoment für Biegung um die m-Achse |
|
|
|
|
|
|
|
|
| reduziertes plastisches Widerstandsmoment für Biegung um die m-Achse mit Mn = 0 |
|
|
| ... um die n-Achse mit Mm = 0 |
|
|
| ... um die η-Achse mit Mζ = 0 |
|
|
| ... um die ζ-Achse mit Mη = 0 |
|
|
|
|
|
 |
| alternative Berechnung der Schubkennwerte |
|
|
 |
|
Die Schubkennwerte dünnwandig beschriebener Querschnitte werden i.d.R. durch Auswertung der o.a. Linien-
integrale
ermittelt. Da dies bei allgemein polygonal umrandeten, dickwandig beschriebenen Querschnitten nicht
möglich ist, wurde
in 4H-QUER die Finite-Elemente-Lösung eingebaut, die i.A. die besseren Ergebnisse liefert,
da sie
detailliert auch Ausrundungsbereiche und Abschrägungen berücksichtigen kann. |
In bestimmten Fällen ist es wünschenswert,
die besseren Ergebnisse auch für dünnwandige Querschnitte bereitzustellen. Dies betrifft insbesondere das Torsionsträgheitsmoment
IT, wenn es zur Weiterverarbeitung (Schnittgrößenermittlung und Nachweisführung) von 4H-FRAP, 4H-NISI
oder 4H-DULAS etc. angefordert wird.
4H-QUER ermöglicht dies, indem der dünnwandig beschriebene Querschnitt temporär in
einen dickwandigen Querschnitt umgewandelt wird. |
| Die Vorgehensweise und der daraus resultierende Vorteil werden an Hand
des Standardprofils HE320A erläutert. |
|
Nach Laden des Profils HE320A als dünnwandiges Profil in 4H-QUER wird (durch Auswertung der Linien-
integrale) ein
Torsionsträgheitsmoment IT = 81.63 cm4 ausgewiesen. Hierbei bleiben die Ausrundungsbereiche
notgedrungen unberücksichtigt. |
|
|
Durch Anklicken des nebenstehend dargestellten Abacus-Buttons erscheint ein Eigenschaftsblatt,
in dem entschieden werden kann, ob die FEM-Berechnung als Standard zur
Ermittlung der Schubkennwerte festgelegt werden soll. |
|
|
|
| Da man
i.d.R. beim erstmaligen Aufruf nicht weiß, ob es sich der Berechnungsmehraufwand lohnt, kann der Testmodus
aktiviert werden. Die Angaben zur nach-folgenden Netzgenerierung können auf automatisch belassen werden. |
|
| Nach Bestätigen des
Eigenschaftsblatts erscheint bei aktiviertem Testmodus nach der FE-Berechnung eine Tabelle,
in der die Werte für IT, κη und κζ aus den verschiedenen Ansätzen miteinander verglichen werden. |
Wie der Abbildung entnommen werden
kann, wurde
mit Hilfe der FE-Methode ein Torsionsträgheitsmoment
IT = 109.03 cm4 ermittelt.
Der Unterschied zum dünnwandig berechneten IT beträgt über 25 %. |
|
Der Profilmanager weist für den HE320A ein Torsions-trägheitsmoment IT = 108.00 cm4 aus. Der mit der FE-Methode ermittelte Wert stellt somit ein sehr viel besseres Ergebnis gegenüber der Auswertung der
Linienintegrale dar. |
Wird das Profil HE320A als dickwandiger Querschnitt beschrieben und berechnet, kann im Register
Ergebnisse der Grund
hierfür erkannt werden (s. Abb.). |
| Die höchsten Spannungskonzentrationen infolge Torsionsbeanspruchung
finden sich im Bereich der Ausrundungen, die von der dünnwandigen Theorie nicht berücksichtigt werden können. |
|
|
|
Werden die Ausrundungen des HE320A-Profils auf 0 gesetzt, liefert die FE-Methode den Wert IT = 79.98 cm4 und
liegt damit sogar knapp unter dem dünnwandig ermittelten Ergebnis. |
Dies zeigt: Bei aus Blechen zusammengesetzten Schweißträgern lohnt
sich der Aufwand der FE-Berechnung
i.d.R. nicht. |
|
| Die optionale Berechnung der Schubkennwerte am dickwandigen Ersatzquerschnitt
hat folgende Konsequenzen |
|
 |
| Im Ergebnisfenster erscheint ein neuer Absatz, der die nach FEM berechneten Schubkennwerte zusätzlich zu den dünnwandig
ermittelten Kennwerten ausweist. |
| Dieser Absatz setzt sich farblich von den restlichen Absätzen ab, um kenntlich zu machen,
dass es sich hier um besondere Zusatzangaben handelt. |
Wird am Querschnitt noch modelliert, muss die Berechnung ggf.
durch Anklicken des Abacus-Buttons neu
gestartet werden. |
|
 |
Wird der Querschnitt zwecks Import von einem 4H-Rechenprogramm angefordert, werden die per
FE-Berechnung verbesserten
Werte für IT, κη und κζ übergeben. |
|
|
|
|
|
 |
Kindmann, R.; Frickel, J.: Elastische und plastische Querschnittstragfähigkeit,
Verlag Ernst & Sohn, Berlin 2002 |
|
 |
Gruttmann, F.; Wagner, W.; Sauer, R.: Zur Berechnung von Wölbfunktion und Torsionskennwerten beliebiger Stabquerschnitte mit
der Methode der finiten Elemente,
Universität Karlsruhe (TH), Institut für Baustatik, Mitteilung 3, 1997 |
|
 |
Kraus, M.: Computerorientierte Berechnungsmethoden für beliebige Stabquerschnitte des Stahlbaus,
Dissertation, Bochum, Februar 2005 |
|
|
|
|
|
|
 |
| zur Hauptseite 4H-QUER, Querschnittswerteermittlung |
 |
|
 |
|