 |
|
| Seite bearbeitet September 2023 |
 |
Kontakt |
 |
|
 |
Programmübersicht |
 |
|
 |
Bestelltext |
 |
|
|
|
|
|
| Handbuch |
 |
|
|
|
|
| Infos auf dieser Seite |
... als pdf |
 |
|
 |
|
| Allgemeines |
 |
 |
Verbindungstechniken ............ |
 |
|
 |
Verbindungsmittel .................. |
 |
|
 |
Anord. V. Anschl m. Seitenh. |
 |
|
| |
 |
Bemessungsschnittgrößen..... |
 |
|
 |
Nachweise ........................... |
 |
|
|
| Haupteingabefenster |
 |
 |
Datenimport .......................... |
 |
|
 |
Eurocode + NA ..................... |
 |
|
 |
Druckeinstellungen ................ |
 |
|
 |
Druckvorschau ...................... |
 |
|
 |
Druckdialog .......................... |
 |
|
 |
Plotausgabe .......................... |
 |
|
| |
|
 |
allgemeine Buttons ................ |
 |
|
|
| Anschluss mit Seitenhölzern |
 |
 |
Holzart u. Holzgüte ................ |
 |
|
 |
Abmessungen ....................... |
 |
|
 |
Berechnungsverfahren ............ |
 |
|
|
|
| Anschluss mit Zangen |
 |
 |
Zange einseitig ...................... |
 |
|
 |
Zangen beidseitig ................... |
 |
|
 |
Berechnungsverfahren ............ |
 |
|
|
|
| Anschluss mit Seitenblechen |
 |
 |
Holzart u. Holzgüte ................ |
 |
|
 |
Stahlsorte ............................. |
 |
|
 |
Abmessungen ....................... |
 |
|
| |
|
 |
Berechnungsverfahren ............. |
 |
|
|
| Verbindungsmittel |
 |
 |
Verbindungsmittelauswahl |
 |
|
 |
Dimension ............................ |
 |
|
 |
Optionen .............................. |
 |
|
|
|
| Anordnung der Verbindungsmittel |
 |
 |
... Anschl. m. Seitenhölzern ... |
 |
|
 |
... Anschl. m. Zangen ............ |
 |
|
|
|
|
| Schnittgrößeneingabe |
 |
 |
Kehlbalkenschnittgrößen ........ |
 |
|
 |
Sparrenschnittgrößen ........... |
 |
|
 |
Datenimport .......................... |
 |
|
|
|
| Ausnutzungen |
 |
| Nachweise |
 |
 |
Stahlbleche ........................... |
 |
|
 |
Holzträger ............................. |
 |
|
 |
Ringdübel ............................. |
 |
|
 |
Scheibendübel ...................... |
 |
|
 |
Stabdübel ............................. |
 |
|
 |
Schrauben ........................... |
 |
|
 |
Nagelverbindungen ............... |
 |
|
 |
gen. V. stiftförmige Verb. ...... |
 |
|
 |
Ausziehwiderstand ............... |
 |
|
| |
|
 |
Verbindungsmittelkräfte ........ |
 |
|
|
|
|
|
|
 |
|
| Verbindungstechniken |
|
| Das Programm dient zur Berechnung von Anschlüssen
von Kehlbalken an Sparren entsprechend der Holzbaunormen DIN
EN 1995-1-1 + NA oder DIN 1052, Ausgabe 2008. |
| Der Anschluss kann auf Normal- und Querkraft beansprucht
werden. |
| Zur Auswahl stehen verschiedene Anschlusstypen. |
|
|
 |
|
|
|
 |
|
|
|
 |
|
|
|
 |
|
|
| Verbindungsmittel |
|
| Als Verbindungsmittel können verwendet werden |
|
|
|
|
 |
SPAX Senk-/Tellerkopf mit Teil-
und Vollgewinde |
|
 |
ASSY-plus VG Zylinder- und Senkfräskopf |
|
 |
Sondernägel der Tragfähigkeitsklassen
1, 2, 3 bzw. A, B, C |
|
|
 |
... Typ C1 |
|
 |
... Typ C5 |
|
 |
... Typ C10 |
|
|
|
|
|
| Anordnung der Verbindungsmittel bei Anschluss mit Seitenhölzern |
|
| Bei Wahl der Variante mit seitlichen Laschen werden
vom Programm zwei Einzelanschlüsse nachgewiesen |
|
 |
Anschluss Seitenholz/Sparren |
 |
... Seitenholz/Kehlbalken |
|
|
| Die Verbindungsmittel werden zeilen- und spaltenweise
angeordnet. |
| Die Anzahl der Spalten wird jeweils für den
Anschluss am Sparren und den Anschluss am Kehlbaken eingegeben. |
Zur besseren Ausnutzung der Verbindungsmittel
kann am Anschluss des Kehlbalkens eine Gruppierung
gewählt werden. |
|
 |
nicht gruppierte Anordnung |
|
 |
 |
|
 |
gruppierte Anordnung |
|
 |
 |
|
| Bemessungsschnittgrößen |
|
Zur Durchführung der erforderlichen Nachweise
werden Bemessungsschnittgrößen für den Kehlbalkenanschluss
und optional auch für den Sparren vorgegeben. |
| Da die Holzbaunorm den Einfluss der Nutzungsklasse
und der Lasteinwirkungsdauer unterscheidet, werden die Bemessungsschnittgrößen
in Gruppen der entsprechenden Klasse der Lasteinwirkungsdauer
(KLED) eingegeben. |
|
 |
|
| Nachweise |
|
| Folgende Nachweise werden geführt |
|
|
|
| Die Ausnutzungen der Einzelnachweise können grafisch angezeigt werden. |
|
 |
|
|
 |
|
Das Haupteingabefenster enthält sieben
Registerblätter, in denen die Eingabe der Parameter erfolgt
und die
Ausnutzungen dargestellt werden. |
|
 |
|
| Bild vergrößern |
 |
|
|
|
| Über die Listbox am oberen
Fensterrand wird die zu verwendende Norm
eingestellt. |
| Zur Auswahl stehen DIN EN 1995 (Eurocode 5) + NA und DIN 1052
(Ausgabe 2008). |
|
 |
|
|
| Neben den Karteireitern
befinden sich sechs Knöpfe, über die die
wichtigsten Programmfunktionen gesteuert
werden. |
|
 |
|
|
|
 |
über den dargestellten Button wird
das Auswahlfenster zum Schnittgrößen- und
Materialdatenimport aus
pcae-Stabwerksprogrammen gestartet |
|
|
|
 |
|
| Bild vergrößern |
 |
|
|
|
In der oberen Fensterhälfte wird über die entsprechenden
Optionsknöpfe ausgewählt, welche Daten importiert
werden
sollen. Möglich sind |
|
 |
| Schnittgrößen am Kehlbalken-/Riegelanschluss |
|
 |
| ... am Sparren-/Stützenanschnitt unten |
|
 |
| ... am Sparren-/Stützenanschnitt oben |
|
 |
| Materialdaten des Trägers/Kehlbalkens |
|
 |
| ... der Stütze/Sparren (hierbei kann gewählt
werden, ob die Daten des unteren oder oberen Stabes
übertragen werden sollen) |
|
 |
| Querschnittsabmessungen des Trägers/Kehlbalkens |
|
 |
| ... der Stütze/Sparren (hierbei
kann gewählt werden, ob die Daten des unteren oder
oberen Stabes übertragen werden sollen) |
|
|
|
| Es ist zu beachten, dass die Bemessung des Anschlusses für
einen 1-achsigen Spannungszustand erfolgt! |
Werden
Schnittgrößen aus einem Programm übernommen, das
2-achsige Schnittgrößen zur Verfügung stellt
(z.B. 4H-FRAP, Räumliche Stabtragwerke),
wird vom Importprogramm die Berechnungsebene automatisch
in die
Ebene gelegt, die von der gewählten Stütze (Sparren)
und dem gewählten Riegel (Kehlbalken) aufgespannt wird. |
| Momenten- und Querkraftanteile quer zur Berechnungsebene
(Querbiegung) werden nicht berücksichtigt. |
|
 |
Durch Setzen geeigneter Gelenkbedingungen ist bereits bei der Modellbildung des Übergabestabwerks
zu achten! |
|
|
|
|
|
|
| Nach dem Einlesen der Übernahmewerte erscheint ein Protokoll im Importfenster. |
|
 |
|
| Warnungen, die beachtet werden sollten, werden in rot dargestellt. |
| Die endgültige Übernahme der Daten erfolgt
erst, wenn das Eingabefenster mit dem grünen Haken verlassen wird. |
|
|
|
|
 |
| über diesen Button wird das
Auswahl- und Verwaltungsfenster zu den
Normen des Eurocodes und der zugehörigen
nationalen Anwendungsdokumente geöffnet |
|
|
|
|
| Druckeinstellungen |
|
 |
| der dargestellte Button öffnet
das Fenster zur Eingabe der
Druckeinstellungen |
|
|
|
 |
|
 |
| Es wird eine Tabelle mit den
Koordinaten jedes einzelnen
Verbindungsmittels ausgegeben. |
| Die Koordinaten beziehen sich
auf den Schwerpunkt aller Verbindungsmittel. |
|
|
 |
| Es wird eine Tabelle mit den
Parametern der Verbindungsmittel
entsprechend der gewählten Norm ausgegeben. |
|
|
 |
Es werden Skizzen mit den
Bezeichnungen der Randabstände
nach der gewählten Norm ausgegeben. |
|
|
 |
Die Konstruktionszeichnungen
des Stoßes werden in den vorgegebenen
Abmessungen an das Planerstellungsmodul
übergeben. |
Von dort können die
Zeichnungen im DXF-Format
exportiert werden. |
|
|
 |
| Die Nachweisergebnisse aller
oder nur der maßgebenden
Schnittgrößenkombination können ausgegeben
werden. |
|
|
 |
| Die Nachweisergebnisse aller
oder nur des maßgebenden Verbindungsmittels
können ausgegeben werden. |
|
|
|
|
| Druckvorschau |
|
 |
| der dargestellte Button öffnet
das Fenster der Druckvorschau im DTE®-Viewer. |
|
|
|
|
|
| Druckdialog |
|
 |
| der dargestellte Button öffnet
den DTE®-Druckmanager. |
|
|
|
|
|
| Plotausgabe |
|
 |
| der dargestellte Button öffnet
den Dialog zur Plotausgabe |
|
 |
|
|
|
| allgemeine Buttons |
|
 |
| sichert die aktuellen
Eingabedaten |
|
|
|
 |
| ruft die Hilfefunktion auf |
|
|
|
|
|
|
|
|
 |
|
 |
| die Eingabe der
Holzarten und Abmessungen erfolgt im Registerblatt Systemparameter |
|
|
|
 |
|
| Holzart und Holzgüte |
|
| Über die
Optionsschalter kann zwischen Nadel-, Laub-, und Brettschichtholz
gewählt werden. |
|
 |
 |
|
| Mittels der
Listboxen wird die Holzgüte gewählt. |
|
| Abmessungen |
|
Die Maße der
Hölzer in cm und die Anschlusswinkel werden in die entsprechenden
Eingabefelder eingetragen. |
|
|
|
| Das Eingabefeld
für die Seitenholzlänge enthält einen
Optionsknopf auto. |
Durch Aktivierung
dieses Schalters wird die Seitenholzlänge vom Programm automatisch
so berechnet, dass die gewählten
Verbindungsmittel unter Einhaltung der Mindestabstände
untergebracht werden können. |
|
|
|
|
|
| Berechnungsverfahren |
|
| DIN EN 1995 in Verbindung mit dem
NAD bzw. DIN 1052 geben dem Statiker verschiedene
Bemessungsverfahren an die Hand. |
Die Verfahren beruhen gemeinsam auf
der Theorie von
Johansen (1949). |
| Beim genauen Verfahren aus [16],
8.2.2, bzw. [1], G.2, werden verschiedene auf der
Fließgelenktheorie beruhende Versagensfälle
untersucht, von denen derjenige mit der geringsten
Tragfähigkeit maßgebend wird. |
|
 |
|
Da die Anwendung dieses Verfahrens sehr aufwendig
ist, steht alternativ das vereinfachte Verfahren nach
[16], 8.2 ff., bzw. [1], 12.2.2 und 12.2.3, zur Verfügung. |
In den Erläuterungen zur DIN 1052 [2] wird
darüber hinaus die Möglichkeit beschrieben, die Bemessungswerte
aufgrund der in [1], Anh. G.2, beschriebenen Versagensfälle
durch Einsetzen der Bemessungswerte von fh,d
und
My,d zu bestimmen. |
Diese Variante liefert i.d.R. die höchsten
Tragfähigkeiten, da hier die verschiedenen Einflüsse
der Holzfeuchte
und der Lasteinwirkungsdauer am besten berücksichtigt
werden. |
|
|
|
 |
|
 |
| die Eingabe der
Holz- und Blecharten und der Abmessungen erfolgt im Registerblatt Systemparameter |
|
|
|
 |
|
|
|
| Über die
Optionsschalter kann zwischen Nadel-, Laub-, und Brettschichtholz
gewählt werden. |
|
 |
 |
|
| Mittels der
Listboxen wird die Holzgüte gewählt. |
|
|
|
|
| Stahlsorte für Seitenbleche |
|
|
| Über die
Optionsschalter kann zwischen den verschiedenen Stahlgüten
gewählt werden. |
|
|
|
Die Maße der
Hölzer und der Anschlussbleche in cm werden in die entsprechenden
Eingabefelder eingetragen. |
|
|
|
|
| Das Eingabefeld
für die Seitenblechlänge enthält einen
Optionsknopf auto. |
Durch Aktivierung
dieses Schalters wird die Seitenblechlänge vom Programm automatisch
so berechnet, dass die gewählten
Verbindungsmittel unter Einhaltung der Mindestabstände
untergebracht werden können. |
|
|
|
|
|
|
|
|
|
| DIN EN 1995 in Verbindung mit dem
NAD bzw. DIN 1052 geben dem Statiker verschiedene
Bemessungsverfahren an die Hand. |
Die Verfahren beruhen gemeinsam auf
der Theorie von
Johansen (1949). |
| Beim genauen Verfahren aus [16],
8.2.2, bzw. [1], G.2, werden verschiedene auf der
Fließgelenktheorie beruhende Versagensfälle
untersucht, von denen derjenige mit der geringsten
Tragfähigkeit maßgebend wird. |
|
 |
|
Da die Anwendung dieses Verfahrens sehr aufwendig
ist, steht alternativ das vereinfachte Verfahren nach
[16], 8.2 ff., bzw. [1], 12.2.2 und 12.2.3, zur Verfügung. |
In den Erläuterungen zur DIN 1052 [2] wird
darüber hinaus die Möglichkeit beschrieben, die Bemessungswerte
aufgrund der in [1], Anh. G.2, beschriebenen Versagensfälle
durch Einsetzen der Bemessungswerte von fh,d
und
My,d zu bestimmen. |
Diese Variante liefert i.d.R. die höchsten
Tragfähigkeiten, da hier die verschiedenen Einflüsse
der Holzfeuchte
und der Lasteinwirkungsdauer am besten berücksichtigt
werden. |
|
|
|
 |
|
 |
| die Eingabe der
Holzarten und Abmessungen erfolgt im Registerblatt Systemparameter |
|
|
|
 |
|
 |
| Bei Wahl einseitiger Zangen wird keine Querbiegung
berücksichtigt. |
| Es ist sicherzustellen, dass die Balken in Querrichtung gehalten werden! |
|
|
|
|
|
| Holzart und Holzgüte |
|
| Über die
Optionsschalter kann zwischen Nadel-, Laub-, und Brettschichtholz
gewählt werden. |
|
 |
 |
|
| Mittels der
Listboxen wird die Holzgüte gewählt. |
|
|
| Abmessungen |
|
Die Maße der
Hölzer in cm und die Anschlusswinkel werden in die entsprechenden
Eingabefelder eingetragen. |
|
|
|
|
|
 |
|
 |
| die Eingabe der
Holzarten und Abmessungen erfolgt im Registerblatt Systemparameter |
|
|
|
 |
|
 |
| Bei Wahl einseitiger Zangen wird keine Querbiegung
berücksichtigt. |
| Es ist sicherzustellen, dass die Balken in Querrichtung gehalten werden! |
|
|
|
|
|
| Holzart und Holzgüte |
|
| Über die
Optionsschalter kann zwischen Nadel-, Laub-, und Brettschichtholz
gewählt werden. |
|
 |
 |
|
| Mittels der
Listboxen wird die Holzgüte gewählt. |
|
|
| Abmessungen |
|
Die Maße der
Hölzer in cm und die Anschlusswinkel werden in die entsprechenden
Eingabefelder eingetragen. |
|
|
|
|
|
| Berechnungsverfahren |
|
DIN EN 1995 in Verbindung mit dem
NAD bzw. DIN 1052 geben
dem Statiker verschiedene
Bemessungsverfahren an die Hand. |
Die Verfahren beruhen gemeinsam auf
der Theorie von
Johansen (1949). |
| Beim genauen Verfahren aus [16],
8.2.2, bzw. [1], G.2, werden verschiedene auf der
Fließgelenktheorie beruhende Versagensfälle
untersucht, von denen derjenige mit der geringsten
Tragfähigkeit maßgebend wird. |
|
 |
|
Da die Anwendung dieses Verfahrens sehr aufwendig
ist, steht alternativ das vereinfachte Verfahren nach
[16], 8.2 ff., bzw. [1], 12.2.2 und 12.2.3, zur Verfügung. |
In den Erläuterungen zur DIN 1052 [2] wird
darüber hinaus die Möglichkeit beschrieben, die Bemessungswerte
aufgrund der in [1], Anh. G.2, beschriebenen Versagensfälle
durch Einsetzen der Bemessungswerte von fh,d
und
My,d zu bestimmen. |
Diese Variante liefert i.d.R. die höchsten
Tragfähigkeiten, da hier die verschiedenen Einflüsse
der Holzfeuchte
und der Lasteinwirkungsdauer am besten berücksichtigt
werden. |
|
|
|
|
 |
|
 |
| im zweiten Registerblatt werden alle
notwendigen Eingaben zum verwendeten Verbindungsmittel
vorgenommen. |
|
|
|
|
|
 |
|
| Bild vergrößern |
 |
|
|
|
|
In den drei Abteilungen Verbindungsmittel, Dimension und Optionen werden alle erforderlichen
Angaben zum
Verbindungsmittel eingestellt. |
| Im unteren Fensterbereich erscheinen sofort
die wichtigsten Ergebnisse der Tragfähigkeit. |
| Ggf. werden rechts neben der Ergebnistabelle
Bemerkungen ausgegeben. |
|
 |
|
| Im Falle einer fehlerhaften Berechnung oder
einer unzulässigen Eingabe erscheint anstelle der Ergebnisse
eine Fehlermeldung; eine Druckausgabe ist jetzt nicht möglich. |
|
 |
|
|
|
|
| Die erste Spalte im Registerblatt
enthält Angaben zum Verbindungsmitteltyp. |
|
| Es stehen verschiedene Verbindungsmittel
zur Verfügung. |
| Ist die Wahl eines Typs aus bestimmten
Gründen nicht möglich, wird der betreffende
Typ blass dargestellt und ist nicht auswählbar. |
|
|
|
|
|
|
| In der zweiten Spalte des Registerblatts werden
die erforderlichen Angaben über die Dimension des gewählten
Verbindungsmittels vorgenommen sowie ggf. zusätzliche
Parameter eingegeben. |
|
| Bei Dübel- und Bolzenverbindungen
steht eine feste Liste von Verbindungsmittelgrößen
entsprechend /1/, Anh. G, zur Auswahl. |
|
 |
|
|
Bei Nagel-, Schrauben- und
Klammerverbindungen werden über
die
Optionsknöpfe Durchmesser und Länge gewählt. |
| Bei Nagel-, Schrauben- und
Klammerverbindungen können die Größenangaben
auch frei eingegeben werden. |
| Bei Bolzen oder Schrauben
können Unterlegscheiben gewählt
werden. |
| Durch Aktivierung des Optionsknopfs automatisch wird der passende Unterlegscheibendurchmesser
vom Programm gewählt. |
|
 |
|
|
|
|
|
In der dritten Spalte des
Registerblatts erscheinen zusätzliche
Parameter oder Berechnungsoptionen in Abhängigkeit
vom
gewählten Verbindungsmittel. |
|
 |
|
|
| Im Folgenden werden die Besonderheiten der
unterschiedlichen Verbindungsmittel erläutert. |
|
|
 |
Die notwendigen Bemessungsparameter
einer Nagelverbindung
sind Durchmesser und Länge des Nagels. |
Soll der Herausziehwiderstand
Fax,Rk berechnet werden, sind
zusätzlich die Eingaben des Kopfdurchmessers
dk und der
effektiven Länge lef erforderlich. |
|
 |
|
|
| Wegen der Spaltgefahr des
Holzes muss bei Nagelverbindungen ohne Vorbohrung
die Dicke t von Bauteilen aus Vollholz eine
Mindestholzdicke entspr. /16/, 8.3.1.2(6),
bzw. /1/, Gl. (218), eingehalten werden. |
Der Herausziehwiderstand Fax,Rk ist bei vorgebohrten
Verbindungen = 0. |
|
 |
|
|
Infolge des Einhängeeffekts
(Seilwirkung) darf ein Teil des Herausziehwiderstands
Rax unter bestimmten Voraussetzungen
gemäß /4/ zur Erhöhung des
Scherwiderstands Rk angesetzt
werden. |
|
 |
|
|
Bei Verbindung von Nadelhölzern
muss wegen der Spaltgefahr
/16/, Gl. (8.18),
bzw. /1/, Gl. (218), erfüllt werden. |
| Diese Bedingung führt
zu relativ großen Mindestholzdicken. |
Bei Vergrößerung
der Mindestnagelabstände zum Rand
rechtwinklig
zur Faser mindestens auf 10·d für ρk ≤ 420 kg/m3
und auf mindestens
14·d für 420 kg/m3 < ρk < 500 kg/m3 darf eine verminderte
Mindestholzdicke gemäß
/16/, Gl. (8.19), bzw.
/1/, Gl. (219), angesetzt werden. |
|
 |
|
|
| Gemäß /16/, 8.3.1.1
(8), gilt |
"Bei einer Reihe mit n
Nägeln in Faserrichtung des Holzes
sollte die Tragfähigkeit in Faserrichtung
mit einer wirksamen Nagelanzahl nef berechnet werden, wenn die Nägel in
dieser Reihe rechtwinklig zur
Faserrichtung nicht um mindestens 1·d
gegeneinander versetzt angeordnet sind." |
|
 |
|
|
|
 |
| Die notwendigen Bemessungsparameter
einer Klammerverbindung sind Durchmesser
und Länge der Klammer. |
Soll der Herausziehwiderstand
Rax berechnet werden, sind die
Eingaben der Rückenbreite und der effektiven
Länge lef
erforderlich. |
Die Holzfeuchte hat ebenfalls
einen Einfluss auf den Ausziehwider-
stand, da der charakteristische Wert f1,k des Ausziehparameters gemäß /1/,
12.8.3 (2), bei Klammerverbindungen, die
mit einer Holzfeuchte über 20 % hergestellt
werden, auf 1/3 abgemindert werden muss. |
|
 |
|
|
| Nach /16/, 8.3.2(8), gilt: |
"Für Bauholz, das
mit einer der Fasersättigung entsprechenden
oder diese übersteigenden Holzfeuchte
eingebaut wird und voraus-
sichtlich unter
Lasteinwirkung austrocknet, sind die Werte
von
fax,k und fhead,k mit 2/3 zu multiplizieren." |
|
 |
|
|
| Um den Herausziehwiderstand
Fax ansetzen zu können,
müssen die Klammern geharzt sein. |
|
 |
|
|
Infolge des Einhängeeffekts
(Seilwirkung) darf ein Teil des Heraus-
ziehwiderstands Fax unter bestimmten
Voraussetzungen gemäß /4/ zur
Erhöhung des Scherwiderstands Fv,Rk angesetzt werden. |
|
 |
|
|
| Zugfestigkeit des Stahls |
 |
|
|
|
 |
| Eingabe und Berechnung erfolgen
i.W. analog zu den Nagelverbindungen. |
Da weder in /16/ noch in /41/
Werte für Auszieh- und Kopfziehparameter
angegeben sind, werden die Werte nach /1/,
Tab. 15, verwendet, sofern keine Unterlegscheibe
gewählt wurde. |
Bezüglich der charakteristischen
Werte für die Ausziehparameter fax und die Kopfdurchziehparameter fhead sind Schrauben gemäß /1/
und
/41/ in Tragfähigkeitsklassen eingeteilt. |
Die Klassen 1, 2 oder 3 legen
den Ausziehparameter f1,k fest;
die Klassen A, B oder C den Kopfdurchziehparameter
f2,k. |
| d1 bezeichnet den
Kerndurchmesser. |
| Die übrigen Optionen
entsprechen denen der Nägel. |
|
 |
|
|
|
 |
|
|
|
 |
| Eingabe und Berechnung erfolgen
i.W. analog zu den Nagelverbindungen. |
Bezüglich der charakteristischen
Werte für die Ausziehparameter
f1,k und die Kopfdurchziehparameter f2,k werden die Werte gemäß
/10/,
/11/ und /12/ verwendet. |
|
 |
|
|
 |
Würth-ASSY-plus VG-Schrauben |
|
 |
| Eingabe und Berechnung erfolgen
i.W. analog zu den Nagelverbindungen. |
Bezüglich der charakteristischen
Werte für die Ausziehparameter
fax und die Kopfdurchziehparameter fhead werden die Werte gemäß
/14/
bzw. /15/ verwendet. |
|
 |
|
|
| Bei Verwendung von Douglasien
sind gemäß /15/, A.1.4.1, bei
nicht vorgebohrten Schrauben die Mindestabstände
in Faserrichtung um 50% zu erhöhen. |
|
 |
|
|
| Schrauben mit einem Durchmesser
≥ 8 mm dürfen gemäß /15/,
4.2, ohne Vorbohren nur in die Holzarten
Fichte, Tanne oder Kiefer eingeschraubt
werden. |
|
 |
|
|
|
 |
| Eingabe und Berechnung erfolgen
i.W. analog zu den Nagelverbindungen. |
Bzgl. der charakteristischen
Werte für die Ausziehparameter fax,k
und die Kopfdurchziehparameter fhead,k sind Sondernägel gemäß /41/,
NCI Zu 8.3.2, in Tragfähigkeitsklassen
eingeteilt. |
Die Klassen 1, 2 oder 3 legen
den Ausziehparameter fax,k fest;
die Klassen A, B oder C den Kopfdurchziehparameter
fhead,k. Die Parameter werden
/41/, 8.3.2, Tab. NA.16, entnommen. |
|
 |
|
|
| Gemäß /41/, NCI
Zu 8.3.2 (NA.13), bzw. /1/, 12.8.1 (8),
darf bei Verbindungen mit Sondernägeln
in vorgebohrten Nagellöchern der charakteristische
Ausziehparameter f1,k zu 70 %
in Ansatz gebracht werden, wenn der Bohrlochdurchmesser
nicht größer als der Kern- durchmesser
des Sondernagels ist. |
| Bei größerem Bohrlochdurchmesser
darf der Sondernagel nicht auf Herausziehen
beansprucht werden. |
|
 |
|
|
| Zugfestigkeit des Stahls |
 |
| Die übrigen Optionen entsprechen
denen der Nägel. |
|
|
|
|
 |
Zur Auswahl stehen die Stabdübel
entspr. /16/, 8.6, bzw.
/1/, Anh. G.10. |
|
 |
|
|
| Die zugehörige Stahlgüte
ist entspr. DIN EN 1993 auszuwählen. |
|
 |
|
|
|
 |
Passbolzen, Bolzen und Gewindestangen
werden entspr. /16/,
8.5 und 8.6, bzw. /1/, 12.1 (1), als stiftförmige
Verbindungsmittel behandelt. |
Verbindungen mit Bolzen und
Gewindestangen werden gemäß
/1/,
12.4, berechnet. |
|
 |
|
|
| Die zugehörige Stahlgüte
ist entspr. DIN EN 1993 auszuwählen. |
|
 |
|
|
Zur Berechnung des Ausziehwiderstands
Fax,Rk ist der
Durchmesser der
Unterlegscheibe anzugeben. |
| Unterlegscheiben müssen
einen Durchmesser du ≥ 3 d haben. |
Durch Wahl der Option automatisch wird der Scheibendurch-
messer gemäß
/8/, Tafel 9.38c, gewählt. |
|
 |
|
|
| Nach /1/, 12.3 (1), werden
Passbolzen rechnerisch wie Stabdübel
behandelt. |
|
 |
|
|
| Verbindungen mit Gewindestangen
werden gemäß /41/, NCI NA.8.5.3,
bzw. /1/, 12.4, berechnet. |
| Der wirksame Durchmesser wird
gemäß /2/, Tab. 12/7, wie folgt
angesetzt. |
|
| Nenndurchmesser
/mm/ |
wirksamer
Durchmesser /mm/ |
| 6 |
5.39 |
| 8 |
7.23 |
| 10 |
9.08 |
| 12 |
10.90 |
| 16 |
14.80 |
| 20 |
18.50 |
| 24 |
22.20 |
| 30 |
27.90 |
|
|
 |
|
|
Infolge des Einhängeeffekts
darf ein Teil des Herausziehwider
stands
Fax,Rk gemäß /16/,
8.2.2, bzw. /1/, 12.3 (8), zur Erhöhung
des Scherwiderstands Fv,Rk angesetzt
werden. |
| Maßgebend für den
Ausziehwiderstand Fax,Rk wird
hierbei die Querdruckpressung der Unterlegscheibe.
Daher ist der Durchmesser der Unterlegscheibe
einzugeben. |
Die Berechnung der wirksamen
Querdruckfläche erfolgt entspr.
/16/, 8.5.2 (2), bzw. /2/, E12.4 (8). |
|
 |
|
|
|
 |
Verbindungen mit Ring- oder Scheibendübeln
sind als Einheit mit einem Bolzen auszuführen,
der die Aufgabe hat,
ein Auseinanderfallen der Hölzer zu verhindern. |
Bei Scheibendübeln Typ C setzt
sich die Tragfähigkeit aus der Summe der Einzeltragfähigkeiten
von Bolzen und
Dübel zusammen. |
| Bei Ringdübeln A1 und Scheibendübeln
B1 wird eine Gesamttragfähigkeit der Verbindungseinheit
berechnet. |
|
|
| Der zugehörige Bolzendurchmesser
unterliegt bestimmten Bedingungen, die von
der Dübelgröße abhängen. |
Die nicht zulässigen
Durchmesser sind daher blass dargestellt
und nicht auswählbar. |
|
 |
|
|
| Zum gewählten Bolzen
ist eine Festigkeitsklasse anzugeben. |
|
 |
|
|
| Nach /1/, 12.3 (1), werden
Passbolzen rechnerisch wie Stabdübel
behandelt. |
|
 |
|
|
| Verbindungen mit Gewindestangen
werden gemäß /1/, 12.4, berechnet. |
|
 |
|
|
Infolge des Einhängeeffekts
darf ein Teil des Herausziehwider-
stands
Fax,Rk gemäß /16/,
8.2.2, bzw. /1/, 12.3 (8), zur Erhöhung
des Scherwiderstands Fv,Rk angesetzt werden. |
|
 |
|
|
|
|
|
 |
|
| ... bei Anschluss mit Seitenhölzern |
 |
|
|
 |
| Die Wahl der Anordnung und der Anzahl
der Verbindungsmittel erfolgt im Registerblatt Anordnung. |
|
|
|
 |
|
 |
|
| Die Verbindungsmittel werden in Zeilen und Spalten angeordnet, deren Anzahlen in den
entsprechenden Eingabefeldern eingegeben werden. |
| Über die Vorgabe der Rand- und Verbindungsmittelabstände
kann die Anordnung vom Benutzer gesteuert werden. |
| Zusätzlich können zur Erreichung einer
optimalen Ausnutzung verschiedene Anordnungsoptionen gewählt
werden (gruppierte Anordnung, wechsel- oder zweiseitige Anordnung
von Nägeln oder Schrauben). |
Das Programm ordnet die Verbindungsmittel unter
Einhaltung der erforderlichen Mindestrandabstände
automatisch
an. |
| Wurde bei der Eingabe der Seitenholzlänge
die Option auto gewählt, werden vom Programm die Verbindungsmittelmindestabstände
a1 und a2 entsprechend der gewählten
Norm angenommen. |
| Zur Kontrolle wird der Stoß als Ansicht am Bildschirm dargestellt. |
|
 |
gruppierte Anordnung |
|
 |
 |
| Bei dem auf Biegung beanspruchten Anschluss des
Seitenholzes an den Kehlbalken kann zur besseren Ausnutzung
der Verbindungsmittel per Aktivierung der entsprechenden Option
eine Gruppierung gewählt werden. |
Die Option wird nur dann freigeschaltet, wenn
eine gerade Anzahl von Spalten gewählt wird und wenn die
Option auto bei der Laschenlänge abgewählt wird. |
|
 |
wechsel- oder zweiseitige Anordnung |
|
 |
 |
| Bei Verwendung von Nägeln, Klammern
oder Schrauben kann eine zweiseitige (von Vorder-
und Rückseite) oder eine wechselseitige (abwechselnd
von Vorder- und Rückseite) Anordnung der Verbindungsmittel
möglich sein. |
Voraussetzung für zweiseitige
Anordnung ist, dass die Bedingung gemäß
/16/, 8.3.1.1(7), bzw.
/ 1/, 12.5.2(12) erfüllt ist, was vom Programm
überprüft wird. |
|
|
|
 |
Randabstand |
|
 |
 |
| Die Rand- und Verbindungsmittelabstände können
automatisch gewählt oder vom Benutzer vorgegeben
werden. |
| Im Automatikmodus werden die Mindestabstände
vom Programm eingestellt. |
|
|
|
 |
Beispiel Nagelstoß |
|
 |
 |
|
 |
Beispiel Stoß mit Ringdübeln |
|
 |
 |
|
|
|
|
|
| Anordnung der Verbindungsmittel bei Anschluss mit Zangen |
 |
|
|
 |
| Die Wahl der Anordnung und der Anzahl
der Verbindungsmittel erfolgt im Registerblatt Anordnung. |
|
|
|
 |
|
| Die Verbindungsmittel werden in Zeilen und Spalten angeordnet, deren Anzahlen in den
entsprechenden Eingabefeldern eingegeben werden. |
|
 |
Randabstand |
|
 |
 |
| Der Randabstand der Verbindungsmittel
kann automatisch gewählt oder vom Benutzer
vorgegeben werden. |
| Im Automatikmodus wird der Mindestabstand
vom Programm eingestellt. |
|
|
|
 |
Beispiel Nagelstoß |
|
 |
 |
|
 |
Beispiel Stoß mit Ringdübeln |
|
 |
 |
|
| Im Falle fehlerhafter Eingaben werden entsprechende
Meldungen ausgegeben. |
|
 |
|
|
|
|
|
|
 |
|
 |
| die Bemessungsschnittgrößen
für den Kehlbalkenanschluss werden im
Registerblatt Schnittgrößen eingegeben. |
Wenn das Programm 4H-HKBA
aus 4H-DACH, Pult-/Satteldach,
heraus aufgerufen wird, werden die
für die Nachweise erforderlichen
Schnittgrößen von dort übernommen. Die hier
beschriebene Schnittgrößeneingabe entfällt
dann. |
|
|
|
|
 |
|
| Die Lasteinwirkungsdauer berücksichtigt den
Einfluss der zeitabhängigen Faktoren auf die Bemessungswerte. |
| Aus Lasteinwirkungsdauer und Nutzungsklasse
wird der Beiwert kmod ermittelt. |
| Die Bemessungswerte werden i.A. nach der
Formel Xd = kmod · Xk /γM berechnet. |
Gehören Einwirkungen aus Lastkombinationen zu
verschiedenen Klassen der Lasteinwirkungsdauer, ist
gemäß [16] und [1] die Einwirkung mit der kürzesten Dauer
maßgebend. |
| Die Lasteinwirkungsdauer kurz/sehr
kurz ist nur bei Benutzung des NAD wirksam. |
|
|
|
| Im Sinne einer besseren Übersichtlichkeit
können die KLED-Gruppen durch einen Klick auf den + - Button
auf- oder zugeklappt werden. |
|
|
| Bei aktiviertem Optionsknopf wird der
kmod-Wert vom Programm berechnet. |
Bei deaktiviertem Optionsknopf wird das
Eingabefeld für kmod freigegeben und es kann ein beliebiger
Wert
eingetragen werden. |
|
|
| Ein Klick auf das Mülleimersymbol löscht die entsprechende Zeile der Schnittgrößenkombination
oder die gesamte KLED-Gruppe. |
| Ein Klick auf den mehr...-Knopf
erzeugt eine weitere KLED-Gruppe oder eine Zeile mit einer
weiteren Schnittgrößenkombination. |
|
|
Durch Aktivieren des Optionsknopfs in der
A-Spalte wird die betreffende Zeile zu einer
Schnittgrößenkombination
in der außergewöhnlichen Situation. |
|
|
 |
| ein Klick auf den nebenstehend dargestellten Button löscht den kompletten
Tabelleninhalt |
|
|
|
|
|
|
|
 |
|
|
| Die Bemessungsschnittgrößen
für den Sparren werden, getrennt für unteres
und oberes Schnittufer, in den
Registerblättern Schnittgrößen
für Sparren eingegeben. |
| Der Nachweis wird am
geschwächten Querschnitt geführt. |
| Wenn
keine Schnittgrößen eingegeben werden,
wird der Nachweis nicht geführt. |
|
Wenn das Programm 4H-HKBA
aus 4H-DACH, Pult-/Satteldach,
heraus aufgerufen wird,
werden die für die Nachweise erforderlichen
Schnittgrößen von dort übernommen. Die hier
beschriebene Schnittgrößeneingabe entfällt
dann. |
|
|
|
|
 |
|
 |
der Knickbeiwert kc wird in
das betreffende Eingabefeld eingetragen |
|
|
| Die Lasteinwirkungsdauer berücksichtigt den
Einfluss der zeitabhängigen Faktoren auf die
Bemessungswerte. |
| Aus Lasteinwirkungsdauer und Nutzungsklasse
wird der Beiwert kmod ermittelt. |
| Die Bemessungswerte werden i.A. nach der
Formel Xd = kmod · Xk /γM berechnet. |
Gehören Einwirkungen aus Lastkombinationen zu
verschiedenen Klassen der Lasteinwirkungsdauer, ist
gemäß [16] und [1] die Einwirkung mit der kürzesten Dauer
maßgebend. |
| Die Lasteinwirkungsdauer kurz/sehr
kurz ist nur bei Benutzung des NAD wirksam. |
|
|
|
Im Sinne einer besseren Übersichtlichkeit
können die KLED-Gruppen durch einen Klick auf den + - Button
auf- oder zugeklappt werden. |
|
|
| Bei aktiviertem Optionsknopf wird der
kmod-Wert vom Programm berechnet. |
Bei deaktiviertem Optionsknopf wird das
Eingabefeld für kmod freigegeben und es kann ein beliebiger
Wert
eingetragen werden. |
|
|
Ein Klick auf das Mülleimersymbol löscht die entsprechende Zeile der Schnittgrößenkombination
oder die
gesamte KLED-Gruppe. |
|
|
| Ein Klick auf den mehr...-Knopf
erzeugt eine weitere KLED-Gruppe oder eine Zeile mit einer
weiteren Schnittgrößenkombination. |
|
|
|
| Durch Aktivieren des Optionsknopfes in der
A-Spalte wird die betreffende Zeile zu einer
Schnittgrößenkombination in der außergewöhnlichen Situation. |
|
|
|
 |
| ein Klick auf den nebenstehend dargestellten Button löscht den kompletten
Tabelleninhalt |
|
|
| |
|
|
|
|
 |
|
Detailnachweisprogramme zur Bemessung von
Anschlüssen (Träger/Stütze,
Träger/Träger), Stößen (Biege-, Zug-
oder
Druckstoß) und Fußpunkten (Stütze/Fundament) etc.
benötigen
Schnittgrößenkombinationen, die häufig von einem Tragwerksprogramm
zur Verfügung gestellt werden. |
| Dabei handelt es sich i.d.R. um
eine Vielzahl von Kombinationen, die im betrachteten
Bemessungsschnitt des übergeordneten Tragwerkprogramms vorliegen
und in das Anschlussprogramm übernommen werden sollen. |
|
| Zunächst sind in dem übergebenden 4H-Programm
(4H-FRAP, Räumliche Stabtragwerke, 4H-NISI, Ebene Stab-tragwerke, etc.) die Orte zu kennzeichnen,
deren Schnittgrößen
beim nächsten Rechenlauf exportiert, d.h. für den
Import in einem Detailnachweisprogramm bereitgestellt, werden sollen. |
| Ausführliche Informationen zum Export können dem DTE®-Schnittgrößenexport entnommen werden. |
|
 |
über den dargestellten Button wird
das Auswahlfenster zum Schnittgrößen- und
Materialdatenimport aus
pcae-Stabwerksprogrammen gestartet. |
|
|
|
 |
|
| Bild vergrößern |
 |
|
|
|
In der oberen Fensterhälfte wird über die entsprechenden
Optionsknöpfe ausgewählt, welche Daten importiert
werden
sollen. Möglich sind |
|
 |
| Schnittgrößen am Kehlbalken-/Riegelanschluss |
|
 |
| ... am Sparren-/Stützenanschnitt unten |
|
 |
| ... am Sparren-/Stützenanschnitt oben |
|
 |
| Materialdaten des Trägers/Kehlbalkens |
|
 |
| ... der Stütze/Sparren (hierbei kann gewählt
werden, ob die Daten des unteren oder oberen Stabes
übertragen werden sollen) |
|
 |
| Querschnittsabmessungen des Trägers/Kehlbalkens |
|
 |
| ... der Stütze/Sparren (hierbei
kann gewählt werden, ob die Daten des unteren oder
oberen Stabes übertragen werden sollen) |
|
|
|
| Das Programm 4H-HKBA, Kehlbalkenanschlüsse, führt
eine einachsige Bemessung durch. |
|
 |
| Wenn Schnittgrößen aus dem räumlichen Stabwerksprogramm 4H-FRAP zum Nachweis eines Stoßes übernommen werden sollen, ist dort bereits bei der Modellbildung durch Anordnung entsprechender Gelenke zu gewährleisten, dass am gestoßenen Stab auch nur ebene Beanspruchungen auftreten. |
|
|
|
|
|
Werden
Schnittgrößen aus einem Programm übernommen, das
2-achsige Schnittgrößen zur Verfügung stellt
(z.B. 4H-FRAP),
wird vom Importprogramm die Berechnungsebene automatisch
in die Ebene gelegt, die von der gewählten Stütze (Sparren)
und dem gewählten Riegel (Kehlbalken) aufgespannt wird. |
| Momenten- und Querkraftanteile quer zur Berechnungsebene
(Querbiegung) werden nicht berücksichtigt! |
|
| Ein Klick auf den Import starten-Button öffnet das
Übergabeprogramm mit dem Fenster zur DTE®-Bauteilauswahl. Hier werden alle berechneten Bauteile dargestellt,
wobei diejenigen B., die Schnittgrößen exportiert
haben, dunkel gekennzeichnet sind. |
|
Das gewünschte Bauteil kann nun markiert und
über den bestätigen-Button ausgewählt werden. Alternativ
kann
durch
Doppelklicken des Bauteils direkt in die
DTE®-Schnittgrößenauswahl verzweigt werden. |
|
 |
|
| Bild vergrößern |
 |
|
|
|
| In der Identifizierungsphase der
Schnittgrößenauswahl werden alle verfügbaren Schnitte des ausgewählten Bauteils
angezeigt, wobei diejenigen Schnitte deaktiviert sind, deren Material nicht kompatibel mit dem Detailprogramm ist. |
|
 |
|
Nun werden die Schnitte den einzelnen
Abteilungen in der Schnittgrößentabelle
(hier Sparren, Kehlbalken)
zugeordnet. Dazu wird der entsprechende Eintrag (hier Schnitt
2) angewählt und der zugehörigen Zeile in der
dann folgenden Tabelle zugewiesen (hier Sparren (unten)). |
| Ist eine
Abteilung festgelegt, werden die in Frage kommenden
möglichen Alternativen für die noch nicht festgelegte Abteilung
mit einem Pfeil gekennzeichnet. |
|
|
sind nicht ausreichend Schnitte
vorhanden, kann die DTE®-Schnittgrößenauswahl nur über den
abbrechen-Button verlassen werden,
ein Import ist dann nicht möglich. |
|
|
| Zur visuellen Kontrolle werden in einem nebenstehenden
Fenster die definierten Schnitte angezeigt. |
|
|
| erst wenn sämtliche Schnitte zugeordnet
sind, ist die Identifizierungsphase abgeschlossen und
die Schnittgrößenauswahl folgt. |
|
|
|
 |
|
Es werden die verfügbaren
Schnittgrößenkombinationen der gewählten Schnitte
angeboten, die über das
'+'-Zeichen am linken Rand aufgeklappt werden
können. |
|
 |
|
| Die obige Tabelle verdeutlicht weiterhin die Komplexität der Nachweise im Holzbau nach den neuen Normen. |
|
 |
im Holzbau gehört zu jeder Bemessungskombination eine
maßgebende Lasteinwirkungsdauer, die zusammen
mit Nutzungsklasse und Materialgüte den zugehörigen kmod-Wert ergibt, der zur Berechnung des Bemessungs-
werts des Bauteilwiderstands
benötig wird |
|
 |
aufgrund der den Einwirkungen anhaftenden unterschiedlichen Lasteinwirkungsdauern (ständig, lang, mittel,
kurz, sehr kurz) muss sich daher innerhalb einer Standardkombination (z.B. im Programm 4H-FRAP) eine
Reihe von Unterextremierungen mit verschiedenen kmod-Werten ergeben. |
| Das Ergebnis einer
Standardkombination in 4H-FRAP ist dann die Umhüllende dieser Unterextremierungen. |
|
 |
zum Import in 4H-HKBA, Kehlbalkenanschlüsse, werden diese Unterextremierungen (die im Ergebnissatz
von 4H-FRAP nicht sichtbar werden) bereitgestellt, um den geforderten exakten Nachweis des Stoßes mit den gleichfalls importierten kmod-Werten führen zu können |
|
 |
eine Alternative wäre, die Ergebnisse der Zusammenfassung des Nachweises zu importieren und manuell
einen ungünstigen kmod-Wert anzugeben. Hier soll jedoch der exakte Weg gezeigt werden. |
|
|
|
| In der Schnittgrößenauswahl werden sukzessive über die Buttons alle auswählen die Schnittgrößenblocks der einzelnen Unterextremierungen aktiviert. |
 |
| mittels des Buttons doppelte Zeilen abwählen werden die Übergabeblocks erheblich reduziert. |
|
|
|
| Wenn eine Reihe von Stößen gleichartig ausgeführt werden soll, können in einem Rutsch weitere Schnittgrößen anderer Schnittkombinationen aktiviert und so bis zu 1.000 Kombinationen übertragen werden (s. Abb. unten). |
|
 |
|
| Bild vergrößern |
 |
|
|
|
| Nach dem Einlesen der Übernahmewerte erscheint ein Protokoll im Importfenster. |
|
 |
|
| Warnungen, die beachtet werden sollten, werden in rot dargestellt. |
| Die endgültige Übernahme der Daten erfolgt
erst, wenn das Eingabefenster mit dem grünen Haken verlassen wird. |
| Nach abgeschlossener Auswahl der Schnittgrößenkombinationen
und Bestätigen der Eingabe werden die Schnittgrößensätze in die
Tabelle des aufrufenden Programms übernommen. |
| Bereits bestehende
Tabellenzeilen vorhergehender manueller Eingaben oder Importe bleiben erhalten, so dass die Schnittgrößenauswahl auch mehrfach aufgerufen werden kann. |
|
|
 |
|
Wie oben bereits erwähnt, kann der Import mehrfach aufgerufen werden und so die Schnittgrößen weiterer
Anschlüsse den Tabellen hinzugefügt werden. Zudem ist die manuelle Vorgabe jederzeit möglich. |
|
|
|
|
|
|
 |
|
 |
Im letzten Registerblatt werden die
Ausnutzungen der einzelnen Nachweise und die
Gesamtausnutzung angezeigt. |
|
|
|
 |
|
| Überschreitungen werden als rote Balken angezeigt. |
|
 |
|
|
|
 |
|
| Bemessung für Biegung n. EC 3 |
 |
|
|
Der Tragsicherheitsnachweis der Seitenbleche wird nach dem
Nachweisverfahren Elastisch-Elastisch
entspr. DIN EN 1993-1-1, Abs. 6.2.1(5), geführt. |
|
|
|
|
| Lochleibung n. EC 3 |
 |
|
| Der Nachweis der Aufnahme der Lochleibungskräfte wird entspr. DIN 1993-1-8, 3.6.1, geführt. |
|
|
|
|
| Bemessung für Biegung (DIN 18800) |
 |
|
|
|
| Bemessung für Schub (DIN 18800) |
 |
|
|
|
| Vergleichsspannung |
 |
|
|
|
| Lochleibung n. DIN 18800 |
 |
|
 |
|
| Beiwert αd in Kraftrichtung |
|
 |
|
| Beiwert k1 quer zur Kraftrichtung |
 |
|
|
|
|
|
 |
|
| Holzträger n. DIN EN 1995-1-1 |
|
|
| Bemessung für Biegung und Zug |
 |
|
|
|
|
|
| Bemessung für Biegung und Druck |
 |
|
|
|
|
|
| Bemessung für Biegung und Druck nach dem Ersatzstabverfahren |
 |
|
|
|
|
|
| Schub aus Querkraft |
 |
|
|
|
|
|
|
|
| Holzträger n. DIN 1052:2008 |
|
|
| Bemessung für Biegung und Zug |
 |
|
|
|
|
|
| Bemessung für Biegung und Druck |
 |
|
|
|
|
|
| Bemessung für Biegung und Druck nach dem Ersatzstabverfahren |
 |
|
|
|
|
|
| Schub aus Querkraft |
 |
|
|
|
|
|
|
|
|
 |
|
| Ringdübel DIN EN 1995-1-1 |
|
|
| Bemessungswert der Tragkraft |
 |
|
|
|
|
|
| wirksame Anzahl der in Faserrichtung hintereinander liegenden Verbindungsmittl (n>2) |
 |
|
|
|
|
|
|
|
|
| Bemessungswert der Tragkraft |
 |
|
|
|
|
|
| wirksame Anzahl der in Faserrichtung hintereinander liegenden Verbindungsmittl (n>2) |
 |
|
|
|
|
|
|
|
 |
|
| Scheibendübel DIN EN 1995-1-1 |
|
|
| Bemessungswert der Tragkraft |
 |
|
|
|
|
|
| wirksame Anzahl der in Faserrichtung hintereinander liegenden Verbindungsmittl (n>2) |
 |
|
|
|
|
|
|
| Scheibendübel DIN 1052:2008 |
|
|
| Bemessungswert der Tragkraft |
 |
|
|
|
|
|
| wirksame Anzahl der in Faserrichtung hintereinander liegenden Verbindungsmittl (n>2) |
 |
|
|
|
|
|
|
|
 |
|
| Stabdübel DIN EN 1995-1-1 |
|
|
| vereinfachtes Rechenverfahren |
 |
|
|
| Bei Wahl des vereinfachten Rechenverfahrens
nach DIN EN 1995-1-1/NA:2013-08, 8.6, errechnet
sich der Bemessungswert der Tragkraft zu |
|
|
|
|
|
|
|
|
|
| wirksame Anzahl der in Faserrichtung hintereinander liegenden Verbindungsmittl (n>2) |
 |
|
|
|
|
|
|
|
|
| vereinfachtes Rechenverfahren |
 |
|
|
Bei Wahl des vereinfachten
Rechenverfahrens n. DIN 1052, 12.2.3, errechnet sich der
Bemessungswert der Tragkraft zu |
|
|
|
|
|
| wirksame Anzahl der in Faserrichtung hintereinander liegenden Verbindungsmittl (n>2) |
 |
|
|
|
|
|
|
|
|
|
 |
|
| Schrauben DIN EN 1995-1-1 NAD |
|
|
| Bemessungswert der Tragkraft vereinfachtes Rechenverfahren |
 |
|
|
| Bei Wahl des vereinfachten Rechenverfahrens
nach DIN EN 1995-1-1/NA:2013-08, 8.2, errechnet
sich der Bemessungswert der Tragkraft zu: |
|
|
|
|
|
|
|
|
|
| wirksame Anzahl der in Faserrichtung hintereinander liegenden Verbindungsmittl (n>2) |
 |
|
|
|
|
|
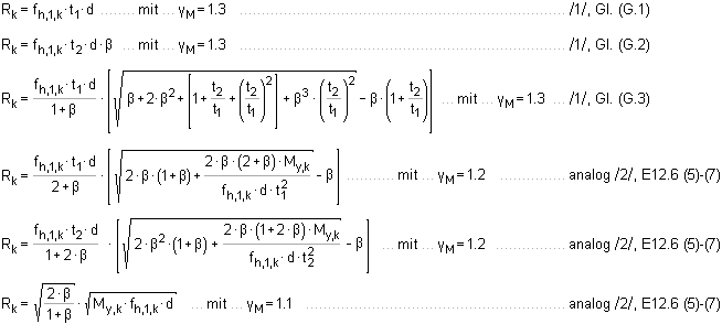
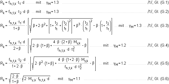
| charakteristische Tragfähigkeit genaueres Verfahren |
 |
|
|
| Bei Wahl des genaueren Verfahren nach /16/, 8.2.2, (s. auch /2/, E 12.6) berechnet
sich die charakteristische Tragfähigkeit nach folgenden Gleichungen, von denen der
kleinste Wert maßgebend ist. |
|
 |
einschnittige
Verbindungen |
|
 |
|
|
 |
zweischnittige
Verbindungen |
|
 |
|
|
|
|
|
|
|
|
|
| Bemessungswert der Tragkraft vereinfachtes Rechenverfahren |
 |
|
|
Bei Wahl des vereinfachten Rechenverfahrens
n. DIN 1052, 12.2.3, errechnet sich der Bemessungswert
der Tragkraft zu |
|
|
|
|
|
|
|
| wirksame Anzahl der in Faserrichtung hintereinander liegenden Verbindungsmittl (n>2) |
 |
|
|
|
|
|
|
|
| charakteristische Tragfähigkeit genaueres Verfahren |
 |
|
|
| Bei Wahl des genaueren Verfahren
nach DIN 1052:2008-12, Anhang G.2 (s. auch
Erl. DIN 1052:2008-12, E12.6), berechnet sich
die charakteristische Tragfähigkeit nach folgenden
Gleichungen, von denen der kleinste Wert maßgebend
ist. |
|
 |
einschnittige
Verbindungen |
|
 |
|
|
 |
zweischnittige
Verbindungen |
|
 |
|
|
|
|
|
|
|
|
 |
|
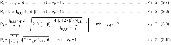
| Nachweis mit stifförmigen Verbindungsmitteln DIN EN 1995-1-1 |
|
|
| Für Verbindungen aus Holz berechnet sich
die charakteristische Tragfähigkeit nach folgenden Gleichungen. |
| Die Terme zur Berücksichtigung der Seilwirkung
wurden weggelassen, da sie separat behandelt werden. |
| Der kleinste Wert ist maßgebend. |
|
|
| einschnittige Verbindungen |
 |
|
|
|
|
|
| zweischnittige Verbindungen |
 |
|
|
|
|
|
|
| Bemessungsverfahren für stiftförmige Verbindungsmittel DIN EN 1995-1-1 |
|
|
Für Verbindungen aus Holz gemäß
/2/, E 12.2.2(3), kann der Bemessungswert der Tragfähigkeit
nach den
Gleichungen /16/, 8.2.2, durch Einsetzen der Bemessungswerte
My,d und fh,d direkt berechnet werden. |
| Die Terme zur Berücksichtigung der Seilwirkung
wurden weggelassen, da sie separat behandelt werden. |
| Der kleinste Wert ist maßgebend. |
|
|
| einschnittige Verbindungen |
 |
|
|
|
|
|
| zweischnittige Verbindungen |
 |
|
|
|
|
|
|
| Nägel und stiftförmige Verbindungsmittel vereinfachtes Rechenverfahren DIN 1052 u. NAD |
|
|
| Verbindungen von Bauteilen aus Holz und Holzwerkstoffen |
 |
|
|
|
|
|
| Stahlblech-Holz-Verbindungen |
 |
|
|
|
|
|
| Holz-Holz-Nagelverbindungen |
 |
|
|
|
|
|
|
|
|
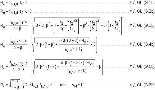
| Genaueres Verfahren DIN 1052:2008 für den Nachweis mit stiftförmigen Verbindungsmitteln |
|
|
| Für Verbindungen aus Holz berechnet sich
die charakteristische Tragfähigkeit nach folgenden Gleichungen. |
| Der kleinste Wert ist maßgebend. |
|
|
|
| einschnittige Verbindungen |
 |
|
|
|
|
|
| zweischnittige Verbindungen |
 |
|
|
|
|
|
|
| Bemessungsverfahren DIN 1052:2008 für stiftförmige Verbindungsmittel |
|
|
Für Verbindungen aus Holz gemäß
/2/, E 12.2.2(3), kann der Bemessungswert der Tragfähigkeit
nach den
Gleichungen /1/, Anh. G.2, durch Einsetzen der Bemessungswerte
My,d und fh,d direkt berechnet werden. |
| Der kleinste Wert ist maßgebend. |
|
|
|
| einschnittige Verbindungen |
 |
|
|
|
|
|
| zweischnittige Verbindungen |
 |
|
|
|
|
|
|
|
 |
|
| Erhöhung der Tragfähigkeit durch Berücksitigung des Ausziehwiderstands DIN EN 1995-1-1 |
|
|
| In bestimmten Fällen darf die Tragfähigkeit
Fv,Rk (Rk) um einen Anteil ΔFv,Rk (ΔRk) erhöht werden. |
| Dieser Anteil resultiert aus dem Ausziehwiderstand
des Verbindungsmittels. |
| Der Anteil ΔFv,Rk ergibt sich
aus dem Term |
|
|
|
| der Gleichungen /16/, (8.6) und 8.7. |
|
|
| Nägel |
 |
|
|
| Nach /16/, 8.2.2 (2), darf
bei Verwendung metallischer, stiftförmiger
Verbindungsmittel der Einfluss der Seilwirkung
berücksichtigt werden. Bei runden Nägeln
ist er auf 15% vom Scherwiderstand begrenzt. |
| Die Einschlagtiefe sollte
dabei mindestens 8·d betragen. |
|
|
| Bei Verwendung von Fermacellplatten
ist gemäß /28/ jedoch eine Erhöhung
möglich. Es gilt: |
|
| "Bei einschnittigen Verbindungen
mit überwiegend kurzzeitiger Beanspruchung
darf die ermittelte charakteristische Tragfähigkeit
Rk für eine Beanspruchung
parallel zum Rand der Gipsfaserplatte um
einen Anteil ΔRk wie folgt
erhöht werden." |
|
|
|
Der Ausziehparameter fax,k und die Kopfdurchziehfestigkeit fhead,k werden nach /16/, 8.3.2 Gl.(8.25), bzw.
nach /41/, NCI Zu 8.3.2, Tab. NA.16, bestimmt. |
Für die Ermittlung des
Ausziehwiderstands Fax,Rk darf
für alle zulässigen Verbindungsmittel
der charakteristische
Wert des Kopfziehparameters fhead,k = 15 N/mm2 angenommen werden. |
|
|
|
|
|
|
| Klammern |
 |
|
|
| Für Klammern gilt das Gleiche
wie für Verbindungen mit Nägeln. |
| Nach
/41/, NCI zu 8.4 (NA.13), können beharzte Klammern wie zwei
profilierte Nägel der Tragfähigkeitsklasse 2 des gleichen
Durchmessers n. Tab. NA.16 betrachtet werden, wenn sie die Anforderungen nach DIN 1052-10 erfüllen,
vorausgesetzt, dass der Winkel zwischen dem Klammerrücken und der
Faserrichtung des Holzes mindestens 30° beträgt. Andernfalls
sind sie wie glattschaftige Nägel zu betrachten. |
| Bei Verwendung von Fermacellplatten
gilt entsprechend /28/ für den Ausziehwiderstand
Rax,k |
|
|
|
|
|
|
|
| Sondernägel |
 |
|
|
| Nach /41/, 8.3.2 (4), darf der Ausziehwiderstand
für Nägel mit anderem als glattem Schaft,
wie in EN 14592 definiert, wie folgt berechnet werden |
|
|
|
Nach /41/, NCI Zu 8.3.1.3 (NA.9),
darf bei einschnittigen Holzwerkstoff-Holz-Nagelverbindungen
mit profilierten
Nägeln (Sondernägeln)
- außer bei Gipsplatten-Holz-Verbindungen
- der charakteristische Wert der Tragfähigkeit
Fv,Rk um einen Anteil ΔFv,Rk erhöht werden. |
|
|
|
Nach /41/, NCI Zu 8.3.1.4 (NA.4),
darf bei einschnittigen Stahlblech-Holz-Nagelverbindungen
mit profilierten Nägeln
die
charakteristische Tragfähigkeit Fv,Rk nach Gleichung (NA.129) um einen Anteil ΔFv,Rk erhöht werden. |
|
|
|
Nach /41/, NCI Zu 8.3.2 (NA.12),
dürfen für Nägel, die nach /18/
einer Tragfähigkeitsklasse zugeordnet wurden,
die charakteristischen Werte für die Ausziehparameter
und die Kopfdurchziehparameter n. Tab. NA. 16
bestimmt werden. |
|
|
|
|
|
| Schrauben |
 |
|
|
| Nach /16/, 8.7.2 (4) darf
für Verbindungen mit Schrauben n. /26/
mit |
|
|
|
| der charakteristische Ausziehwiderstand
berechnet werden zu |
|
|
|
|
|
|
|
| Passbolzen |
 |
|
|
Bei Verbindungen mit Bolzen
oder Passbolzen darf der charakteristische
Wert der Tragfähigkeit Fv,Rk n. /16/, 8.2.2,
um einen Anteil ΔFv,Rk erhöht werden. |
| Gemäß /16/, 8.2.2
(2), ist ΔFv,Rk auf 25%
von Fv,Rk zu begrenzen. |
| Maßgebend für ΔFv,Rk ist die Querdruckspannung unter der Unterlegscheibe.
Die wirksame Fläche unter der Scheibe
kann nach /16/, 8.5.2(2), zu A ·
3.0 · fc,90,k berechnet
werden. |
|
|
|
|
|
|
| Bolzen und Gewindestangen |
 |
|
|
| Sofern nichts
anderes festgelegt ist, gelten die Bestimmungen
für Verbindungen mit Stabdübeln
und Passbolzen sinngemäß. |
|
|
|
|
|
| Ring- und Scheibendübel |
 |
|
|
| Ring- oder Scheibendübel
bieten keinen Widerstand gegen Herausziehen. |
| Da Ring- oder Scheibendübel
jedoch immer in Verbindung mit Bolzen ausgeführt
werden müssen, wird vom Programm der
Herausziehwiderstand des verwendeten Bolzens
ermittelt. |
| Dieser Herausziehwiderstand
kann auch gemäß /16/, 8.2.2,
oder /1/, 12.3 (8), zur Erhöhung der
Schertragfähigkeit herangezogen werden. |
|
|
|
|
|
|
| Erhöhung der Tragfähigkeit durch Berücksichtigung des Auziehwiderstands DIN 1052:2008 |
|
|
| In bestimmten Fällen darf die
Tragfähigkeit Rk um einen Anteil ΔRk erhöht werden. |
| Dieser Anteil resultiert aus dem
Ausziehwiderstand des Verbindungsmittels. |
|
|
| Nägel |
 |
|
|
| Bei Verbindung mit glattschaftigen
Nägeln sieht DIN 1052 unter Verwendung
üblicher Materialien keine Möglichkeit
der Erhöhung der Tragfähigkeit
vor. |
| Bei Verwendung von Fermacellplatten
ist gemäß /4/ jedoch eine Erhöhung
möglich. Es gilt: |
|
| "Bei einschnittigen Verbindungen
mit überwiegend kurzzeitiger Beanspruchung
darf die ermittelte charakteristische Tragfähigkeit
Rk für eine Beanspruchung
parallel zum Rand der Gipsfaserplatte um
einen Anteil ΔRk wie folgt
erhöht werden." |
|
|
| Für die Ermittlung des
Ausziehwiderstands Rax,k darf
für alle zulässigen Verbindungsmittel
der charakteristische Wert des Kopfziehparameters
f2,k = 15 N/mm2 angenommen
werden. |
|
|
|
|
|
| Klammern |
 |
|
|
| Für Klammern
gilt das Gleiche wie für Verbindungen
mit Nägeln. |
| Bei Verwendung
von Fermacellplatten gilt entsprechend /4/
für den Ausziehwiderstand Rax,k. |
|
|
|
|
|
|
|
| Sondernägel |
 |
|
|
Bei einschnittigen Holzwerkstoff-Holz-Nagelverbindungen
mit Sondernägeln der Tragfähigkeitsklasse
3 - nicht jedoch
bei Gipskarton-Holz-Verbindungen - darf
der charakteristische Wert der Tragfähigkeit
Rk n. /1/, Gl. (226), um einen
Anteil ΔRk erhöht
werden. |
|
|
|
| Beim Anschluss von Brettsperrholz,
Sperrholz, OSB-Platten, kunstharz- oder
zementgebundenen Spanplatten dürfen
die charakteristischen Werte des Kopfdurchziehparameters
f2,k n. Tab. 14 nur dann in Rechnung
gestellt werden, wenn diese Platten mindestens
20 mm dick sind. |
| Die charakteristische Rohdichte
ρk ist dabei mit 380 kg/m3 in Rechnung zu stellen. |
| Für Platten mit einer
Dicke zwischen 12 mm und 20 mm darf in allen
Fällen nur mit f2,k = 8
N/mm2 gerechnet werden. |
| Bei geringeren
Plattendicken als 12 mm darf mit Rax,k = 400 N gerechnet werden. |
|
Bei einschnittigen
Stahlblech-Holz-Nagelverbindungen mit Sondernägeln
der Tragfähigkeitsklasse 3 darf
der charakteristische Wert der Tragfähigkeit
Rk n. Gl. (228) um einen Anteil
ΔRk erhöht werden. |
|
|
|
|
|
|
|
| Schrauben |
 |
|
|
Bei einschnittigen Verbindungen
mit Holzschrauben darf der charakteristische
Wert der Tragfähigkeit Rk
um einen Anteil ΔRk erhöht
werden. |
|
|
|
Der charakteristische Wert
des Ausziehwiderstands von Holzschrauben,
die unter einem Winkel
45° ≤ α ≤ 90° zur Faserrichtung
in das Holz eingeschraubt sind, darf wie
folgt berechnet werden. |
|
|
|
| Für f1,k und
f2,k dürfen die in /1/,
Tab. 15, angegebenen Werte in Rechnung gestellt
werden. |
Holzschrauben mit einem Gewinde
n. DIN 7998 dürfen ohne Nachweis in
die Tragfähigkeitsklasse 2A
eingestuft werden. |
Für den
Nachweis der Tragfähigkeit einer Holzschraube
mit einem Gewinde n. DIN 7998 auf Zug in
Schaftrichtung darf die charakteristische
Tragfähigkeit der Schraube angenommen
werden zu |
|
|
|
| Beim Anschluss von Brettsperrholz,
Sperrholz, OSB-Platten, kunstharz- oder
zementgebundenen Spanplatten dürfen
die charakteristischen Werte des Kopfdurchziehparameters
f2,k n. Tab. 14 nur dann in Rechnung
gestellt werden, wenn diese Platten mindestens
20 mm dick sind. |
| Die charakteristische Rohdichte
ρk ist dabei mit 380 kg/m3 in Rechnung zu stellen. |
| Für Platten mit einer
Dicke zwischen 12 mm und 20 mm darf in allen
Fällen nur mit f2,k = 8
N/mm2 gerechnet werden. |
| Bei geringeren Plattendicken
als 12 mm darf mit Rax,k = 400
N gerechnet werden. |
|
|
|
|
|
| Passbolzen |
 |
|
|
Bei Verbindungen mit Passbolzen
darf der charakteristische Wert der Tragfähigkeit
Rk n. 12.2 um
einen Anteil ΔRk erhöht
werden. |
|
|
|
| Für die Berechnung
von Rax wird i.d.R. die
Querdruckpressung der Unterlegscheibe
auf das Holz maßgebend. |
Die effektive Querdruckfläche
ist abhängig vom Unterlegscheiben-
und vom Bolzendurchmesser und berechnet
sich gemäß /8/, 8.3,
zu |
|
|
|
|
|
|
|
|
| Bolzen und Gewindestangen |
 |
|
|
| Sofern nichts anderes festgelegt
ist, gelten die Bestimmungen für Verbindungen
mit Stabdübeln und Passbolzen sinngemäß. |
|
|
|
|
|
| Ring- und Scheibendübel |
 |
|
|
| Ring- oder Scheibendübel
bieten keinen Widerstand gegen Herausziehen. |
Da Ring- oder Scheibendübel
jedoch immer in Verbindung mit Bolzen ausgeführt
werden müssen, wird
vom Programm der Herausziehwiderstand des
verwendeten Bolzens ermittelt. |
Dieser Herausziehwiderstand
kann auch gemäß /1/, 12.3(8),
zur Erhöhung der Schertragfähigkeit
herangezogen werden. |
|
|
|
|
|
|
|
 |
|
| Der Nachweis wird entspr. EC 5, 8.1.4, und Bild 8.1 geführt. |
Werden Kräfte in einer Verbindung unter einem Winkel zur Faserrichtung eingeleitet, ist ein Nachweis gegen
Querzugversagen zu erbringen. Es gilt |
|
|
|
| Für Verbindungen mit mehreren Verbindungsmittelspalten ist in /41/, NCI zu 8.1.4 ein Verfahren angegeben. Es gilt |
|
|
|
| Bei beidseitigem oder mittigem Queranschluss gilt (NA. 8) |
|
|
|
| Bei einseitigem Queranschluss gilt (NA. 9) |
|
|
|
|
|
|
|
 |
| zur Hauptseite 4H-HKBA,
Kehlbalkenanschlüsse |
 |
|
 |