 |
|
| Seite überarbeitet November 2023 |
 |
Kontakt |
 |
|
 |
Programmübersicht |
 |
|
 |
Bestelltext |
 |
|
|
|
|
|
| Handbuch |
 |
|
|
|
|
| Infos auf dieser Seite |
... als pdf |
 |
|
 |
| einführende Bemerkungen |
 |
 |
globale Einstellungen ............. |
 |
|
 |
Abschnitte u. Lager ............... |
 |
|
 |
Anker u. Abstände ................ |
 |
|
 |
glob. KOS u. Exzentrizitäten |
 |
|
 |
Belastungsstruktur ................. |
 |
|
 |
Kontrollpunkte ....................... |
 |
|
|
|
| Eingabemodul |
 |
 |
Hauptfenster .......................... |
 |
|
 |
Objektfenster ......................... |
 |
|
 |
Steuerbuttons ........................ |
 |
|
 |
Baumansichtsfenster .............. |
 |
|
 |
Ergebnisfenster ...................... |
 |
|
 |
Objektauswahl ....................... |
 |
|
|
|
 |
Assistent .............................. |
 |
|
|
| Abschnittseigenschaften |
 |
 |
Stahlgüte / Querschnitt .......... |
 |
|
 |
Punktfedern ........................... |
 |
|
 |
Gelenkfedern ......................... |
 |
|
 |
Querschnittsausrichtung ......... |
 |
|
 |
Linienfedern ........................... |
 |
|
 |
optische Kontrolle .................. |
 |
|
|
|
 |
Abschnittslänge / Teilung ........ |
 |
|
|
| Lagereigenschaften |
 |
| Belastung / Imperfektionen |
 |
 |
Streckenlasten ...................... |
 |
|
 |
Punktlasten ........................... |
 |
|
 |
Imperfektionen ....................... |
 |
|
|
|
| Ergebnispräsentation |
 |
 |
Ergebnisdarstellung ................ |
 |
|
 |
Darstellungsoptionen .............. |
 |
|
|
|
|
| Theorie u. Beispiele |
 |
 |
Theorie .................................. |
 |
|
 |
Effekte Stabformulierung ......... |
 |
|
 |
Querschnittsnachweis ............ |
 |
|
|
|
|
 |
|
|
 |
|
Durch Anklicken des Symbols globale
Einstellungen, das sich ganz links in der
Kopfzeile des Hauptfensters
befindet, wird das Eigenschaftsblatt
zur Vorgabe der globalen Eigenschaften aktiviert. Es verfügt
über fünf Register. |
|
 |
Register 1 - Norm |
|
 |
| Im ersten Register kann die zugrundeliegende Norm
gewählt werden (DIN EN 1993 (EC 5 + NA) oder DIN 18800). |
| Je nach Norm werden dann die entsprechenden Nachweisoptionen
verwendet. Beim Umschalten des Normenwerks müssen die Nachweiseinstellungen
angepasst werden. Eventuell schon eingerichtete, nicht zur Norm
gehörende Nachweise werden gelöscht. |
|
 |
|
 |
Register 2 - Orientierung |
|
 |
| Im zweiten Register kann die Wirkungsrichtung
der (durch ein Gewichtssymbol gekennzeichneten) Eigengewichtslasten
festgelegt werden. |
Im Ausgangszustand handelt es sich bei dem zu
bearbeitenden Bauteil um einen horizontal liegenden Träger,
dessen Längsachse sich an der globalen X-Achse orientiert und
dessen Gewichtslasten nach unten (in globaler
Z-Richtung) wirken. |
| Um mit dem Programm auch Stützen und schiefliegende
Balken (wie etwa die Sparren eines geneigten Daches) berechnen
zu können, kann die Richtung der Eigengewichtslasten vom Standard
abweichend verändert werden. |
|
 |
|
 |
Register 3 - Berechnung |
|
 |
| Das Programm berechnet die Verformungen und Schnittgrößen
i.A. unter Berücksichtigung der Wölbkrafttorsion und des Wagner-Effekts. |
| Um diese Effekte im Einzelfall studieren zu können
und um bestehende statische Berechnungen, die ohne Berücksichtigung
dieser Effekte aufgestellt wurden, überprüfen (nachrechnen)
zu können, lassen sich die Effekte einzeln oder gemeinsam
abschalten. |
Zusätzlich kann festlegt werden, ob Imperfektionen
in den Verformungen der Lastkollektive enthalten sein sollen
oder nur die Zusatzverformungen dargestellt werden. |
|
 |
|
 |
Register 4 - Iteration |
|
 |
Die nichtlineare Berechnung erfolgt iterativ.
Um die Gefahr auszuschließen, eine Endlosschleife abzuarbeiten
(dies
kann passieren, wenn bei einem gegebenen System keine
Konvergenz hergestellt werden kann), ist die maximale
Anzahl
der zu berechnenden Iterationsschritte pro Lastkollektiv begrenzt. |
| Auf Konvergenz wird erkannt, wenn die sich ergebenden
Differenzen in den Verformungen und Schnittgrößen zweier aufeinander
folgender Iterationsschritte in allen Punkten des Systems kleiner
als die im Eigenschaftsblatt ausgewiesenen Toleranzen sind. |
| In diesem Fall wird die Iteration vorzeitig beendet. |
Konvergiert die Berechnung auch nach Durchführung
der maximalen Anzahl von Iterationen nicht, ist dies ein
Kriterium
dafür, dass die (mit einem Sicherheitsfaktor erhöhten) Lasten
des zur Berechnung anstehenden
Lastkollektivs vom System nicht
aufgenommen werden können. |
| Es erfolgt eine entsprechende Warnung des Rechenprogramms. |
|
 |
|
 |
Register 5 - Teilung |
|
 |
Das Programm arbeitet mit Polynomen dritten Grades
als Ansatzfunktion für die Verformungen einzelner
Teilabschnitte (Elemente). |
Da die tatsächlichen Lösungen der zugrundeliegenden
Differentialgleichungen aber zum Teil aus trigonometrischen
bzw. hyperbolischen (bei Berechnungen nach Theorie II. Ord.)
und Exponentialfunktionen (bei Wölbkrafttorsion)
sowie Kombinationen aus beiden (bei elastischer Bettung) bestehen,
liefert diese Vorgehensweise eine Näherung
der exakten Lösung. |
| Der Fehler der Näherung kann (ähnlich wie
bei der Finite-Elemente-Methode) durch hinreichende Teilung
verkleinert werden, sodass sein Effekt keinen Einfluss mehr
auf die Zuverlässigkeit der berechneten Ergebnisse hat. |
| Im fünften Register des Eigenschaftsblatts globale Optionen können die programminternen Festlegungen
zur Teilung der Abschnitte modifiziert werden. |
I.d.R. wird empfohlen, die Schaltfläche automatisch zu aktivieren (Voreinstellung), so dass die von pcae
überprüften Einstellungen bei der Abschnittsteilung zu Grunde
gelegt werden. |
| Merke: Zu große Elemente können die Ergebnisse
bis zur Unbrauchbarkeit verfälschen. Zu kleine Elemente erhöhen
den Rechenaufwand ohne dabei einen messbaren Genauigkeitsgewinn
zu erlangen. |
|
 |
|
 |
Register 6 - Nachweis |
|
 |
| Im letzten Register können die Nachweisoptionen
eingestellt werden. |
| Für alle berechneten Lastkombinationen (extremale
Schnittgrößen, Lastkollektivergebnisse, ...) werden alle Ergebnispunkte
des Durchlaufträgers nachgewiesen.. |
Diese Nachweisprozedur reagiert auf die im 6.
Register angebotenen Einstellungen, die für den gesamten Träger
- also für alle definierten Abschnitte - gelten. |
| Der Querschnittsnachweis kann je nach zugrunde liegender Norm nach dem Nachweisverfahren Elastisch-Elastisch (EC3 DIN EN 1993-1-1, Abschnitt 6.2.1(5), bzw. DIN 18800, El. 747) oder
nach dem Nachweisverfahren Elastisch-Plastisch (E-P) geführt
werden (EC3 DIN EN 1993-1-1, Abschnitt 6.2.1(6), bzw. DIN 18800, El. 757). |
| Für Dreiblechquerschnitte (I-, C-, U-, Z-, L-, T-Querschnitte) und Flacheisen bzw. Rohre als Profile
oder typisierte Querschnitte kommt das Teilschnittgrößenverfahren
mit Umlagerung (nach Kindmann) zur Anwendung. |
Für Nachweise nach DIN EN
1993 kann für beliebige dünnwandige Querschnitte das Verfahren
der Dehnungs-
iteration oder das erweiterte Teilschnittgrößenverfahren
gewählt werden. Voreingestellt ist das erweiterte Teilschnittgrößenverfahren,
wobei für Dreiblechquerschnitte das Teilschnittgrößenverfahren
mit Umlagerung nach Kindmann verwendet wird (durch Schalter einstellbar). |
| Zur Überprüfung der Arbeitsweise des
Nachweisprozesses dient die Definition von Detailnachweispunkten. |
| In der für die Detailnachweispunkte erzeugten
Druckliste sind alle Zwischenergebnisse (z.B. extremale Lastkombinationen
mit zugehörigen Größen, errechnete Spannungen,
maßgebende Lastfallfaktoren etc.) enthalten. |
|
 |
|
|
|
 |
|
| Das globale X-Y-Z-Koordinatensystem ist wie grundsätzlich
alle KO-Systeme ein orthogonales Rechtssystem. |
| Es dient zur Ausrichtung und Vermessung der Abschnitte,
Lager und Lastbilder. |
| Die X-Achse zeigt in Längsrichtung des Durchlaufträgers. |
|
 |
Über die Exzentrizitäten ΔY
und ΔZ kann ein Abschnitt, ein Lager sowie
der Angriffs-
punkt eines Lastbildes in der Ebene
senkrecht zur X-Achse verrückt werden. |
| Deshalb können Gegebenheiten, wie
sie rechts dargestellt sind, leicht beschrieben
und vom Rechenprogramm berücksichtigt werden. |
|
|
 |
|
|
| Die Lage der globalen Achse im Durchlaufträger
wird i.A. so gewählt werden, dass eine möglichst einfache
Beschreibung der Lagerbedingungen und Lasten erfolgen kann. |
| Die Ausrichtung der Querschnitte kann dann bequem bei den Abschnittseigenschaften
vorgenommen werden. |
|
|
|
 |
|
| Der zu berechnende Durchlaufträger wird in n Abschnitte
unterteilt. |
| Da ein Trägerabschnitt immer von einem bestimmten
Querschnittstyp ist und konstante bzw. linear veränderliche
Querschnittswerte aufweist, muss der Träger an den Stellen,
an denen er einen Querschnittsknick oder -sprung aufweist, unterteilt
werden. |
| Darüber hinaus können einem Träger nur an den
Querschnittsenden Einzellager zugeordnet werden. |
| Aus diesen Randbedingungen ergibt sich die erforderliche
Abschnittsteilung. |
|
 |
|
| Die Abschnitte werden von links nach rechts mit
1 beginnend durchnummeriert. |
| Lagerpunkte befinden sich an den Durchlaufträgerenden
sowie zwischen den Abschnitten. |
| Dementsprechend gibt es immer einen Lagerpunkt
mehr als Abschnitte. |
| Lagerpunkte werde mit A, B, C ... von links nach
rechts aufsteigend gekennzeichnet. |
|
|
|
 |
|
| Die geometrische Beschreibung der Lastbilder
bezieht sich stets auf den gesamten Durchlaufträger und
ist unabhängig von der Abschnittsteilung. |
| Um Teilstreckenlasten festlegen zu können,
bedient man sich der Anker ggf. unter Berücksichtigung
von Abständen. |
Ein Anker ist hierbei einer der definierten
Lagerpunkte A, B, C, .... Hierbei müssen zwei der drei
Teillängen
a, l oder e angegeben werden. |
| a und e können i.A. auch 0.0 oder negativ
sein. |
| In der nebenstehenden Skizze sind die Angaben
im Eigenschaftsblatt sowie das Resultat beispielhaft angegeben. |
| Weiterhin können die Lasten außermittig,
mit einem Abstand von der X-Achse in Y- und in Z-Richtung
verschoben werden. |
| Hierzu dienen die Eingabefelder ΔX
und ΔY. |
|
 |
|
|
|
 |
|
|
| Kontrollpunkte sind Punkte im System, die für den Benutzer
hinsichtlich der Ergebnisse des Rechenlaufs von besonderem Interesse sind.
In 4H-DULAS sind Kontrollpunkte entweder Lagerknoten oder Stabpunkte. |
| Während bei den Lagerknoten das Augenmerk auf den Reaktionskräften
des Lagers liegt, sind bei Stabpunkten die Schnittgrößen an einer
bestimmten Stelle des Durchlaufträgers interessant. |
|
| Kontrollpunkte können zu Detailnachweis- und/oder zu Schnittgrößenexportpunkten erklärt werden. |
|
 |
| für Detailnachweispunkte werden detaillierte Informationen zum Rechenlauf angefordert. |
Jedes Mal, wenn ein solcher Punkt vom Programm
bearbeitet wird, wird ein Protokoll erzeugt, in dem die
berechneten und überlagerten Schnittgrößen sowie
die Entscheidungen und Berechnungen des Nachweis-
bzw. Bemessungsmoduls bzgl. dieses speziellen Punkts nachvollziehbar
aufgelistet werden. |
| Der Umfang dieser ausführlichen Informationen kann vom Benutzer festgelegt
werden. |
| Nach durchgeführter Berechnung enthält
die Druckliste jeweils ein Kapitel für jeden Detailnachweispunkt. |
|
|
|
 |
für Schnittgrößenexportpunkte werden sämtliche Schnittgrößen bzw. Lagerreaktionskräfte,
die lastfallweise
oder durch Auswertung von Extremalbildungsvorschriften und Lastkollektiven
vom Rechenprogramm ermittelt
wurden, in einer Datei gespeichert, die von Programmen zu einem
späteren Zeitpunkt eingelesen und ausgewertet werden können.
Ergebnisse der Wölbkrafttorsion (Bimoment, Verdrillung etc.)
werden von 4H-DULAS nicht exportiert. Alle Schnittgrößen
(auch das Torsionsmoment) beziehen sich auf den Schwerpunkt. |
 |
die von pcae angebotenen Detailprogramme zum Nachweis von Trägerstößen,
Rahmenecken, Anschlüssen etc. können diese
Schnittgrößen aufnehmen und weiterverarbeiten,
wenn das
nebenstehend dargestellte Symbol angeboten wird |
|
|
| Das Schubladenwerkzeug Schnittgrößenexport,
das seit DTE® Version 4.05 in der
Schreib- tischschublade angeboten wird, ist ebenfalls
in der Lage, auf die gespeicherten Schnittgrößen
der Kontrollpunkte zuzugreifen. |
| Die exportierten Größen
können mit diesem Werkzeug auf dem Drucker
ausgegeben, in eine externe Textdatei (zur Weiterverarbeitung
in einem Editor) oder in eine XML-Datei (um sie
z.B. in Microsoft Excel zu laden) geschrieben werden. |
| Nähere Informationen sind im
DTE®-Hilfedokument zu finden. |
|
 |
|
|
|
|
|
 |
| durch Klicken des nebenstehend dargestellten Buttons,
der sich in der Kopfzeile des Eingabemoduls befindet, erscheint
das Fenster der Kontrollpunktverwaltung |
|
|
|
 |
|
| Bild vergrößern |
 |
|
|
|
|
| In den beiden angebotenen Registern werden Lagerknoten und
Stabpunkte angegeben. |
| Während Lagerknoten allein durch Vorgabe der Knotennummer
in ihrer Lage eindeutig gekennzeichnet sind, ist bei Stabknoten der Abstand
vom Anfangs- oder Endknoten anzugeben. Bei den Knoten ist zu beachten, dass
die Knotennummern 1, 2, 3, ... den Auflagern A, B, C, ... entsprechen. |
| Weiterhin ist durch Setzen logischer Schalter anzuzeigen,
ob es sich um einen Schnittgrößenexport- oder (und) um einen
Detailnachweispunkt handelt. |
| Im letzteren Fall können Angaben zum Umfang der Ausgabe
in der Druckliste gemacht werden. |
| Jedem Kontrollpunkt kann ein farbiges Fähnchensymbol
zugeordnet werden. |
| Darüber hinaus empfiehlt es sich, dem Kontrollpunkt eine
Bezeichnung zuzuweisen. |
| Kontrollpunkte werden im Eingabemodul in der Systemdarstellung
durch ihr Fähnchensymbol angezeigt. |
|
 |
|
|
|
 |
|
| Das Hauptfenster ist in die Steuerbuttonzeile,
die Statuszeile sowie in drei weitere Unterfenster unterteilt. |
|
 |
|
 |
| die Steuerbuttonzeile enthält
interaktive Steuerelemente, mit deren Hilfe die Aktionen des
Programms eingeleitet bzw. gesteuert werden |
|
 |
im Objektfenster werden die
wesentlichen Objekte (hier: Abschnitte, Lagerpunkte, Lastbilder)
auswählbar
dargestellt |
|
 |
die Baumansicht der Objekte bietet ebenfalls alle definierten Objekte in einer explorerähnlichen
Darstellung
zur Auswahl an |
|
 |
| im Ergebnisfenster werden die
Rechenergebnisse zum aktuell definierten System dargestellt |
|
 |
| die Statuszeile weist Informationen zu laufenden
Aktionen aus |
|
|
|
| Die Trennbalken ermöglichen das Vergrößern bzw.
Verkleinern eines Unterfensters zu Lasten der anderen. |
Hierzu muss der Trennbalken mit der Maus angefahren
werden bis der Mauscursor sein Layout ändert.
Bei gedrückt gehaltener
linker Maustaste kann nun der vertikale Trennbalken horizontal
- bzw. der horizontale Trennbalken vertikal verschoben werden. |
|
|
|
 |
|
| Nebenstehend ist beispielhaft der
Inhalt des Baumansichtsfensters dargestellt. |
| Es bietet alle definierten Objekte
in Form eines Baumes ähnlich dem des Windows-Explorers
zur Auswahl an. |
|
Befindet sich vor einem Element in
der Baumansicht ein -Symbol, bewirkt das Anklicken dieses Symbols das
Schließen des Elementes: Die diesem Element zugeordneten
Unterelemente werden ausgeblendet. |
Befindet sich vor einem Element in
der Baumansicht ein -Symbol, bewirkt das Anklicken dieses Symbols
das Öffnen des Elementes: Die diesem Element zugeordneten
Unterelemente werden wieder eingeblendet. |
|
Durch einfaches Anklicken mit der
linken Maustaste wird ein Objekt aus-
bzw. abgewählt. |
| Es können gleichzeitig mehrere auch
unterschiedliche Objekte ausgewählt sein. |
| Durch Auswahl eines übergeordneten
Elements (Ordner, auch Baumknoten genannt) werden
alle Unterelemente dieses Objekts aus- bzw. abgewählt. |
| Mit ausgewählten Objekten können bestimmte
Aktionen durchgeführt werden. |
|
 |
| das Angebot dieser Aktionen
befindet sich hinter dem nebenstehend
dargestellten bearbeiten-Symbol |
|
|
|
| Der Zustand der aktuellen Auswahl
wird im Objektfenster synchronisiert. |
| Erfährt ein Objekt im Objektbaum einen
Doppelklick, erscheint sein individuelles Eigenschaftsblatt
auf dem Bildschirm. |
| Zusätzlich können durch
einen Doppelklick auf ein Objekt des Baums dessen
Objekteigenschaften direkt geändert werden. |
|
 |
|
|
Die im Baumansichtsfenster befindlichen unterschiedlichen
Objekttypen sind nachfolgend mit ihrem grafischen
Symbol aufgelistet. |
|
| Ein Abschnitt ist eine Teilstrecke
des gesamten Durchlaufträgers. |
| Abschnitte werden von links nach rechts
mit 1 beginnend durchnummeriert. |
|
| Lagerpunkte befinden sich
an den Durchlaufträgerenden sowie zwischen den Abschnitten.
Demnach gibt es immer einen Lagerpunkt mehr als
Abschnitte. |
| Lagerpunkte werden mit A, B, C ...
von links nach rechts aufsteigend gekennzeichnet. |
|
Eine Einwirkung bündelt die
Belastung einer bestimmten Ursache (Verkehr,
Wind,
Schnee, ...); ihr sind stets Lastfälle zugeordnet. |
|
Mit einer Lastfallgruppe können die ihr zugeordneten Lastfälle additiv bzw.
alternativ geschaltet werden. |
|
| Ein Lastfall enthält Einzellasten und/oder Streckenlasten, wobei die
Lastbilder eines Lastfalls stets gemeinsam wirken. |
|
|
 |
|
Ein Imperfektionsfall enthält Imperfektionsbilder,
die aus Vorverformungen und Schiefstellungen bestehen und
nur
bei der nichtlinearen Berechnung benötigt werden. |
|
| Einem linearen Nachweis sollte stets
eine Extremalbildungsvorschrift zugeordnet sein, die
festlegt, wie die Schnittgrößen und Verformungen der unterschiedlichen
Einwirkungen zu überlagern sind, um die Nachweisschnittgrößen
zu bilden. |
|
Einem nichtlinearen Nachweis sollten
stets mehrere Lastkollektive oder ein Lastkollektivbildungsgesetz
zugeordnet sein. |
|
|
|
 |
|
| Im Objektfenster können die definierten
Objekte geometrisch visuell überprüft werden. |
Darüber hinaus können die dargestellten
Objekte im Objektfenster (wie auch im Baumansichtsfenster)
durch einfaches Anklicken aus- bzw. abgewählt und durch
einen Doppelklick aktiviert werden. |
| Ein ausgewähltes Objekt ändert sich in der
Farbgebung, so dass jederzeit kontrolliert werden kann,
welche Objekte ausgewählt sind. |
Die Aktivierung durch einen Doppelklick
ruft das individuelle Eigenschaftsblatt des Objekts zur
Bearbeitung hervor. |
|
 |
|
| Achten Sie beim Arbeiten im Objektfenster
auf den Mauszeiger! Immer wenn er die Form einer Hand
annimmt, befindet sich die Maus über einem auswählbaren
Objekt. |
|
 |
|
|
|
 |
|
| Im Ergebnisfenster werden die Ergebnisse
des zuletzt durchgeführten Rechenlaufs dargestellt. |
Man beachte, dass der Inhalt dieses
Fensters stark von den in
der Kopfleiste angebotenen,
in eckige Klammern gesetzten Steuerelementen abhängt! |
|
|
mit dem auto-Button
wird die Aktualisierung der
Ergebnisse
gesteuert. |
| Ist dieser Button eingedrückt,
wird das Rechenprogramm automatisch
nach jeder Änderung des Systems bzw.
der Belastung eine neue Berechnung der
Ergebnisse durchführen und somit den
Inhalt des Ergebnisfensters auf aktuellem
Stand halten. |
|
|
|
|
| ist der auto-Button
gelöst (nicht eingedrückt, erhaben),
muss der Rechenlauf und somit die Aktualisierung
des Ergebnisfensterinhaltes durch Anklicken
des Start-Buttons
angestoßen werden. |
Diese Einstellung bietet
sich ggf. aus Zeitgründen bei rechenintensiven
Problemstellungen mit vielen Nach-
weisen
und Lastkollektiven an. |
|
|
|
 |
|
|
 |
| mit den Elementen der Auswahlliste
wird festgelegt, von welchem Lastfall, welcher Einwirkung
bzw. welchem Nachweis die Ergebnisse im Ergebnisfenster
eingeblendet werden sollen |
|
|
|
 |
ein Mausklick auf das Symbol Ergebnistypauswahl ruft ein Eigenschaftsblatt auf, in
dem die einzelnen Liniengrafiken im Ergebnisfenster
aus- bzw. abgewählt werden können
(s. Darstellungsoptionen
im Ergebnisfenster) |
|
|
|
|
|
 |
|
| Über die Steuerbuttons in der Kopfleiste
des Programms werden die maßgeblichen Aktionen gesteuert. |
|
 |
|
 |
| mit dem Symbol globale
Einstellungen werden optionale
Einstellungen bezüglich des nachfolgenden Rechenlaufs
festgelegt |
|
|
|
 |
 |
|
befindet sich der Mauszeiger über
dem neu-Symbol,
erscheint ein Pulldown-Menü mit drei weiteren
Symbolen,
mit deren Hilfe eine neue Linienlast, eine neue
Einzellast und ein neues Imperfektionsbild
erzeugt
werden können (von links nach rechts) |
|
|
|
 |
 |
|
| Das bearbeiten-Symbol
kann nur aktiviert werden, wenn mindestens ein Objekt
ausgewählt ist. |
Befindet der Mauszeiger über diesem
Symbol, erscheint ein Pulldown-Menü mit weiteren
Symbolen, mit
deren Hilfe die aktuell ausgewählten
Objekte bearbeitet werden können. |
| Sind mehrere Objekte desselben Typs
aktiviert, spricht man auch vom Vereinheitlichen. |
| Von links nach rechts bedeuten die
Symbole: Bearbeitung der ausgewählten |
|
|
|
|
|
 |
ein Mausklick auf dem Symbol Einwirkungen
bearbeiten ruft ein Eigenschaftsblatt
hervor, in dem die
Struktur von Einwirkungen und
Lastfälle sowie die Imperfektionen definiert und
bearbeitet werden können |
|
|
|
 |
ein Mausklick auf dem Symbol Nachweise
bearbeiten ruft ein Eigenschaftsblatt
hervor, in dem die zu
führenden Nachweise und die diesen zugeordneten
Extremalbildungsvorschriften und Lastkollektive
definiert
und bearbeitet werden können |
|
|
|
 |
ein Klick auf das Diskettensymbol sorgt dafür, dass der aktuelle Datenzustand in der
zum Bauteil
gehörenden Eingabedatei gespeichert wird |
|
|
|
 |
| mit dem auto-Button
wird die Aktualisierung der Ergebnisse gesteuert. |
Bei eingedrücktem Button wird
das Rechenprogramm automatisch nach jeder Änderung
des Systems bzw.
der Belastung eine neue Berechnung der Ergebnisse
durchführen und somit den Inhalt des Ergebnisfensters
auf aktuellem Stand halten. |
|
|
|
 |
ist der auto-Button
gelöst (nicht eingedrückt, erhaben), muss der Rechenlauf
und somit die Aktualisierung
des Ergebnisfensterinhaltes
durch Anklicken des Start-Buttons angestoßen
werden. |
Diese Einstellung bietet sich ggf.
bei rechenintensiven Problemstellungen mit vielen
Nachweisen
und Lastkollektiven an. |
|
|
|
 |
| mit den Elementen der Auswahlliste
wird festgelegt, von welchem Lastfall, welcher Einwirkung
bzw. welchem Nachweis die Ergebnisse im Ergebnisfenster
eingeblendet werden sollen |
|
|
|
 |
| ein Mausklick auf as Symbol Ergebnistypauswahl ruft ein Eigenschaftsblatt hervor, in dem die Ergebnistypen
im Ergebnisfenster aus- bzw. abgewählt werden können. |
|
|
|
 |
ein Mausklick auf das Symbol Kontrollpunkte
bearbeiten ruft ein Eigenschaftsblatt hervor,
in dem die Kontrollpunkte
(Lagerpunkte und Stabpunkte zum Schnittgrößenexport bzw. für
detaillierte Zwischenergebnisse) definiert und bearbeitet werden können |
|
|
|
 |
 |
|
| Befindet sich der Mauszeiger über
dem Drucker-Symbol,
erscheint ein Pulldown-Menü mit drei weiteren Symbolen,
mit deren Hilfe der Umfang der Ergebnisdruckliste
eingestellt, die Drucklisten am Bildschirm eingesehen
oder der Druckmanager zur Ausgabe des Druckdokuments
auf dem Drucker aufgerufen werden kann (von links
nach rechts). |
|
|
|
 |
| ein Mausklick auf dem Symbol Deformationen
visualisieren ruft das Visualisierungswerkzeug
auf, um sich den Verformungszustand der berechneten
Lastfälle/Lastkollektive ansehen zu können |
|
|
|
 |
| ein Mausklick auf das Hilfe-Symbol
ruft die Online-Hilfe auf |
|
|
|
 |
| ein Mausklick auf das Ende-Symbol
beendet die Eingabesitzung nach absichernder Abfrage |
|
|
|
|
|
 |
|
| Im Baumansichtsfenster und im Objektfenster können
Objekte (Abschnitte, Lagerpunkte und Lastbilder) durch einfaches
Anklicken mit der linken Maustaste ausgewählt werden. |
| Ausgewählte Objekte werden im Baumansichtsfenster
und im Objektfenster farblich markiert, so dass die aktuelle
Auswahl jederzeit optisch kontrolliert werden kann. |
|
 |
 |
|
| Ausgewählte Objekte können über den nebenstehend dargestellten bearbeiten-Buttons
bearbeitet werden. |
| Hierbei wird in dem zugehörigen
Pulldown-Menü entschieden, welcher Objekttyp bearbeitet
werden soll. |
|
|
|
| Sind mehrere Objekte des zu bearbeitenden Objekttyps
ausgewählt, werden alle Objekte nach Bestätigen des durch diese
Aktion aufgerufenen Eigenschaftsblatts die hier festgelegten
Eigenschaften erhalten (Vereinheitlichen). |
| Die individuellen Eigenschaften eines Objekts
können auch per Doppelklick im Baumansichtsfenster und
im Objektfenster editiert werden. |
Dazu wird das zugehörige Eigenschaftsblatt
aufgerufen, in dem die Eigenschaften des Objekts unabhängig
vom
Status anderer möglicherweise ausgewählter Objekte individuell
bearbeitet werden können. |
|
|
|
 |
|
Wird ein neu angelegtes Stahldurchlaufträgerbauteil
aus DTE® heraus erstmalig gestartet, erscheint
ein Assistent,
der mit Hilfe weniger Angaben ein dem vorliegenden
Problem möglichst gut entsprechendes System generiert. |
| Hierbei werden dem Benutzer acht formularartige
Seiten angeboten, die die wesentlichen Daten zum vorliegenden
System abfragen. |
| Durch Anklicken der weiter-
bzw. zurück-Links
kann durch die Formulare navigiert werden. |
| Sämtliche Festlegungen können natürlich im Nachhinein
geändert werden. |
|
|
 |
| Seite 1 |
| Hier ist die zugrundeliegende
Norm anzugeben. |
|
|
|
|
| Hier sind die Abschnittslängen
einzutragen. |
|
|
|
Hier sind die Lagerangaben an
den Lagerpunkten
A, B, C ... anzugeben. |
| Dabei wird von fester Lagerung
der Verformungen ausgegangen. |
| Näheres zu den Angaben s. Eigenschaften
eines Lagerpunkts |
|
|
|
| Hier ist der Querschnitt festzulegen. |
| Wählen Sie zunächst einen der
angebotenen Querschnittstypen aus und klicken
dann auf den Link bearbeiten,
um den Querschnitt genauer zu beschreiben. |
| Der Assistent wird jedem Abschnitt
den so charakterisierten Querschnitt zuordnen. |
Besitzt das Bauteil abschnittsweise
unterschied-
liche Querschnitte, kann dies im
Nachhinein geändert werden. |
| S. hierzu auch Abschnittslänge,
Stahlgüte und Querschnitt |
|
|
|
| Hier geht es um die Struktur
von Einwirkungen und Lastfällen. |
Die Verwaltung dieser Laststruktur
verfügt über
einen eigenen Assistenten, der
durch Anklicken
des Start-Symbols
aktiviert wird. |
|
|
|
| Legen Sie hier die Ordinaten
einiger Standardlastbilder fest. |
|
|
|
| Legen Sie hier fest, welche
Nachweise geführt werden sollen. |
|
|
|
|
|
Nach Anklicken des fertigstellen-Symbols
auf Seite 8 generiert der Assistent den gewünschten Eingabedatensatz
und startet den eigentlichen Dialog, in dem die definierten
Objekte in der Baumansicht wie auch im Objektfenster zur interaktiven
Bearbeitung dargestellt werden. |
|
|
|
 |
|
Im ersten Register des Eigenschaftsblatts
zur Festlegung der Abschnittseigenschaften werden das Material
und der Querschnitt des Trägerabschnitts festgelegt. |
|
 |
|
| Stahlgüte |
|
| In der Auswahlliste kann ein Material gemäß
DIN EN 1993 bzw. DIN 18800 ausgewählt werden. |
Mit dem daneben angegebenen γM,Emodul kann festgelegt werden, mit welchem Wert der Elastizitätsmodul
bei
der Berechnung der Verformungen und Schnittgrößen abgemindert werden
soll. Dieser Wert ist nur für
Nachweise nach DIN 18800 relevant.
I.d.R. ist dies gemäß DIN 18000 der Materialsicherheitsbeiwert für
Stahl (γM,Emodul=1,1). Durch Vorgabe einer 1.0 in diesem Eingabefeld
findet keine Abminderung statt. |
| DIN EN 1993 (EC 3) verlangt keine Abminderung des
Elastizitätsmoduls. |
| Je nach gewählter Norm ist die Voreinstellung
von γM,Emodul der Vorschrift entsprechend gewählt. |
| Soll eine Stahlsorte verwendet werden, die
nicht in der Standardliste enthalten ist, muss sie zunächst als benutzerdefinierte Stahlgüte deklariert
werden. |
| Durch Drücken des Pfeil-Buttons unter benutzerdefiniert wird ein Eigenschaftsblatt angezeigt,
in dem bis zu zehn verschiedene Stahlgüten aktiviert
und hinsichtlich ihrer elastischen Eigenschaften definiert werden
können. |
|
|
|
In 4H-DULAS werden neben der Bezeichnung
nur die elastischen Moduln und die Fließgrenzen fyk anhängig von
der Erzeugnisdicke benötigt. Die Liste der
Stahlgüten wird nach Aktivierung der benutzerdefinierten Stahlgüte
entsprechend erweitert. |
|
| Querschnitt |
|
Die nachfolgend dargestellten Profile können
wahlweise als genormte Profile dem DTE®-Profilmanager
entnommen
oder parametrisiert beschrieben werden. |
Parametrisiert beschriebene Querschnitte können
als über den Stab linear veränderliche Querschnitte (Vouten)
festgelegt werden. Bei der Parametereingabe ist die im Eigenschaftsblatt
angegebene Skizze zu beachten! |
|
|
|
 |
Die nebenstehend dargestellten Profile können ausschließlich
parametrisiert (auch gevoutet) beschrieben werden. |
|
|
 |
| Dieses Symbol steht für den Querschnittsimport
aus dem Querschnittswerteprogramm 4H-QUER. |
Wenn Sie über das Querschnittswerteprogramm 4H-QUER verfügen, können dort weitere Querschnitte
(Typ dünnwandig) konstruieren und in das
Stahldurchlaufträgerprogramm importieren. |
|
|
|
Für die Untersuchung des Biegedrillknickens
sind genaue Werte des Torsionsträgheitsmoments und der Wölb-parameter
wichtig. 4H-QUER bietet die Möglichkeit, diese Werte
mit Hilfe der FE-Methode unter Berücksichtigung
der tatsächlichen
Querschnittsgeometrie (Berechnung als dickwandiger Querschnitt mit
Ausrundungen, gevouteten Flanschen etc.) zu ermitteln und nach 4H-DULAS
zu übergeben. |
|
 |
Ist der Optionsschalter genormtes Standardprofil aktiviert,
kann der Profilmanager durch
Anklicken des nebenstehend dargestellten
Buttons aufgerufen werden. Die geometrischen Basisparameter (h, b,
t, s) des gewählten Profils werden in der Tabelle eingeblendet. |
Wird in diesem Zustand die links abgebildete Pinnwandnadel angeklickt,
werden die
eingeblendeten Profilparameter als Eingabeparameter
für einen parametrisiert beschriebenen Querschnitt übernommen. |
|
|
|
Nach Schließen des Eigenschaftsblatts durch
Anklicken des bestätigen-Buttons
werden die Angaben vom
Abschnitt (bzw. von den aktuell ausgewählten
Abschnitten) übernommen. |
|
|
|
 |
|
| Im zweiten Register des Eigenschaftsblatts zur Festlegung der Abschnittseigenschaften
wird die Ausrichtung des Querschnitts festgelegt. |
|
 |
|
Hier ist der Punkt in der Querschnittsebene festzulegen,
durch den die globale
X-Achse verläuft. Siehe auch "Das
globale Koordinatensystem und die Exzentrizitäten". |
| Dieser Punkt wird mit einem Abstand von einem wählbaren (dem Querschnitt
zugeordneten) Ausrichtungspunkt beschrieben. |
Die möglichen Ausrichtungspunkte
sind neben dem Schwerpunkt und dem Schubmittelpunkt die horizontalen
bzw, vertikalen Ränder (oben, unten,
rechts, links) und der Nullpunkt
des Querschnitts. |
| Bei 4H-QUER-importierten Querschnitten
ist der Nullpunkt der Ursprung des Beschreibungskoordinatensystems. |
| Bei allen anderen Querschnitten ist dies der Mittelpunkt des umgebenden
Rechtecks. |
| Zusätzlich kann der Querschnitt um den so definierten Punkt mit
dem Winkel φ gedreht werden. |
|
 |
|
|
|
|
 |
|
Im dritten Register des Eigenschaftsblatts zur
Festlegung der Abschnittseigenschaften können dem Abschnitt
beliebig viele Einzelfedern zugeordnet werden. |
|
 |
|
Klicken Sie auf ,
um zur aktuellen Tabelle eine (weitere) Feder hinzuzufügen, |
... auf ,
um die aktuell ausgewählte Feder zu duplizieren, |
... auf ,
um die aktuell ausgewählte Feder zu löschen. |
|
| Mit Δx ist der Ort der Feder in Längsrichtung,
gemessen vom Abschnittsanfang anzugeben. |
Die Beschreibung der Position der Feder innerhalb
der Querschnittsebene bezieht sich wieder auf die Ausrichtungspunkte,
wie sie bereits unter Register 2, Ausrichtung des
Querschnitts, beschrieben wurden
(s. auch das Globale Koordinatensystem
und die Exzentrizitäten). |
Als Federtyp kann eine Verschiebungsfeder in x-,
y- bzw. z-Richtung in kN/m, eine Verdrehungsfeder zur
Behinderung der Stabverdrehung um die Abschnittslängsachse in
kNm/- oder eine Wölbfeder zur Behinderung
der Querschnittsverwölbung
in kNm4 gewählt werden. |
| Die Federn wirken in Richtung der lokalen Querschnittsachsen. |
| Die dem gewählten Freiheitsgrad zugeordnete Federkonstante
muss mit einem Wert > 0 angegeben werden. |
Ein Wert von -1.0 entspricht einer starren Lagerung.
Intern wird eine starre Lagerung durch eine Feder mit einer
sehr großen Federkonstanten realisiert. |
Eine Verschiebungsfeder kann zusätzlich in
der Querschnittsebene um den Winkel φ um die Längsachse
verdreht werden. |
| Federn an derselben Position addieren sich in ihrer Wirkung. |
|
|
|
 |
|
Im vierten Register des Eigenschaftsblatts zur
Festlegung der Abschnittseigenschaften können dem Abschnitt
beliebig viele Linienfedern zugeordnet werden. |
|
 |
|
Klicken Sie auf ,
um zur aktuellen Tabelle eine (weitere) Feder hinzuzufügen, |
... auf ,
um die aktuell ausgewählte Feder zu duplizieren, |
... auf ,
um die aktuell ausgewählte Feder zu löschen. |
|
xa und xe beschreiben den Wirkungsbereich der
Linienfeder in Längsrichtung, der sich auf den Bereich des
Abschnitts beschränken muss. |
| Der Wert xe ist der Abstand des Federendpunkts
vom Abschnittsende. |
Die Beschreibung der Position der Feder innerhalb
der Querschnittsebene bezieht sich wieder auf die Ausrichtungspunkte,
wie sie bereits unter Register 2, Ausrichtung des
Querschnitts, beschrieben wurden
(s. auch das Globale Koordinatensystem
und die Exzentrizitäten). |
Ist die Position der Feder in der Querschnittsebene
über die Lauflänge linear veränderlich, muss sie am
Anfangspunkt
(an der Stelle xa) und am Endpunkt (an der Stelle l-xe) beschrieben
werden. Aktivieren Sie
hierzu das Kontrollkästchen in der Spalte veränderlich. |
Als Federtyp kann eine Verschiebungsfeder in x-,
y- bzw. z-Richtung in kN/m2 oder eine Drehfeder zur
Behinderung der Stabverdrehung um die Abschnittslängsachse in
kNm/m gewählt werden. |
| Die Federn wirken in Richtung der lokalen Querschnittsachsen. |
| Die dem gewählten Freiheitsgrad zugeordnete Federkonstante
muss mit einem Wert > 0 angegeben werden. |
Ein Wert von -1.0 entspricht einer starren Lagerung.
Intern wird eine starre Lagerung durch eine Feder mit einer
sehr großen Federkonstanten realisiert. |
Eine Verschiebungsfeder kann zusätzlich in
der Querschnittsebene um den Winkel φ um die Längsachse
verdreht werden. |
|
|
|
 |
|
Im fünften Register des Eigenschaftsblatts zur Festlegung der Abschnittseigenschaften
können dem Abschnitt
beliebig viele Gelenkfedern zugeordnet werden. |
|
 |
|
 |
| fügt der aktuellen Tabelle ein (weiteres) Gelenk hinzu |
|
 |
| dupliziert das aktuell ausgewählte Gelenk |
|
 |
| löscht das aktuell ausgewählte Gelenk |
|
|
|
Mit Hilfe von Gelenkbedingungen können Anschlüsse beschrieben
werden, bei denen zwei Stababschnitte
oder ein Abschnitt und ein Lagerpunkt
nicht starr miteinander verbunden sind. |
Der Gelenktyp steuert dabei, welcher
Freiheitsgrad durch das Gelenk freigeschnitten und durch eine Feder
gekoppelt
wird. |
Es können mehrere Freiheitsgrade gleichzeitig gelöst werden.
Dabei ist zu beachten, dass die Position der
My- und Mz-Gelenke den Punkt
festlegen, um den das Gelenk rotiert. |
| Analog entspricht die Position der
Vy- und Vz-Gelenke dem Drehpunkt um die Stablängsachse. |
| Werden zusätzlich
für die Längsverschiebung bzw. für die Stabtorsion Gelenke
angegeben, werden die Positionsangaben der My- und Mz-Gelenke bzw. Vy- und
Vz-Gelenke ignoriert. |
| Die Gelenkfedern addieren sich in ihrer Wirkung; exzentrische
Federn in den Kraftrichtungen erzeugen dabei zusätzliche Momentenfedern. |
|
| Mit Δx ist der Ort des Gelenks in Längsrichtung, gemessen vom Abschnittsanfang
oder -ende anzugeben. |
Die Beschreibung der Position des Gelenks innerhalb
der Querschnittsebene bezieht sich wieder auf die Ausrichtungspunkte, wie
sie bereits unter Register 2 Ausrichtung des Querschnitts beschrieben wurden.
S. hierzu auch das globale Koordinatensystem und die Exzentrizitäten. |
Als Gelenkfeder kann
eine Verschiebungsfeder in x-, y- bzw. z-Richtung in kN/m, eine Verdrehungsfeder
zur
Kopplung der Stabverdrehung um die Abschnittslängsachse in kNm/- oder
eine Wölbfeder zur Kopplung der Querschnittsverwölbung in kNm4 gewählt werden. |
| Die Gelenke wirken in Richtung der lokalen Querschnittsachsen. |
Die dem gewählten Freiheitsgrad zugeordnete Federkonstante muss mit einem
Wert > 0.0 angegeben werden.
Ein Wert von 0.0 entspricht einem Vollgelenk, ein Wert von -1.0 einer starren Verbindung. |
| Intern wird eine starre Verbindung
durch eine Feder mit einer sehr großen Federkonstanten realisiert. |
Ein Momenten- bzw. Querkraftgelenk kann zusätzlich in der Querschnittsebene
mit dem Winkel φ um die
Längsachse verdreht werden. |
Durch Angabe des Schnittufers kann bei Gelenken innerhalb des Abschnitts festgelegt werden,
auf welcher
Seite von eventuell vorhandenen Punktlagern bzw. Punktlasten
des Abschnitts das Gelenk eingebaut wird. |
| Gelenke am Anfang bzw. am Ende
des Abschnitts bekommen immer das Schnittufer rechts bzw. links. |
|
|
|
 |
|
| Im fünften Register des Eigenschaftsblatts
zur Festlegung der Abschnittseigenschaften können die eingegebenen
Eigenschaften des Abschnitts optisch kontrolliert werden. |
|
 |
|
Während auf der rechten Seite die Querschnittsangaben
und die hieraus resultierenden Querschnittswerte
protokolliert
werden, kann im linken Bereich eine visuelle Fahrt vom Abschnittsanfang
zum Abschnittsende
unternommen werden. |
| In dem abgedunkelten Player-Fenster sind das globale
Koordinatensystem, der Querschnitt inkl. Schwerpunkt und Schubmittelpunkt
sowie ggf. Einzel- und Linienlager symbolisch dargestellt. |
|
 |
klicken Sie auf den Start-Button,
um die Fahrt zu beginnen. Die Kamera wird mit konstanter
Geschwindigkeit
über den Abschnitt fahren. |
|
|
|
 |
| klicken Sie auf den vor-Button,
um auf die nächste nachfolgende relevante Position
vorzuspulen |
|
|
| Diese Position wird der Anfang oder
das Ende einer Linienfeder, die Position einer Einzelfeder
oder das Abschnittsende sein. |
|
|
|
 |
| klicken Sie auf den zurück-Button,
um auf die nächste vorangegangene relevante Position
zurückzuspulen. |
|
|
| Diese Position wird der Anfang oder
das Ende einer Linienfeder, die Position einer Einzelfeder
oder der Abschnittsanfang sein. |
|
|
|
 |
| klicken Sie auf den Anfang-Button,
um an den Abschnittsanfang zurückzuspulen |
|
|
|
 |
| ... den Ende-Button,
um an das Abschnittsende vorzuspulen |
|
|
|
 |
| ... den Stop-Button,
um die laufende Reise zu unterbrechen |
|
|
|
|
|
 |
|
| Im letzten Register des Eigenschaftsblatts zur Festlegung
der Abschnittseigenschaften kann die Abschnittslänge festgelegt werden. |
|
 |
|
| Neben der Änderung der Abschnittslänge im hierfür angebotenen
Eingabefeld besteht die Möglichkeit, den Trägerabschnitt über das Scherensymbol zu unterteilen. |
| Die Unterteilung kann regelmäßig (in äquidistanten Abständen)
oder unregelmäßig erfolgen. |
|
Beachten Sie, dass die
Unterteilung nur erforderlich ist, wenn feste Lager im Bereich
des Abschnitts wirken sollen
oder wenn Unstetigkeiten
des Querschnitts vorliegen (s. auch Abschnitte
und Lagerpunkte)! |
|
|
|
|
 |
|
| Im Eigenschaftsblatt der Lagerpunkte werden die
Lagerangaben festgelegt. |
|
 |
|
| Für die Verformungsfreiheitsgrade |
|
 |
Verschiebung in X-Richtung, |
 |
... in Y-Richtung, |
 |
... in Z-Richtung, |
 |
Verdrehung um die X-Achse, |
 |
... um die Y-Achse, |
 |
... um die Z-Achse und die |
 |
Querschnittsverwölbung |
|
|
werden jeweils drei Schalter angeboten, mit denen
die zugeordnete Verformung gänzlich unterbunden (starres
Lager,
linker Schalter), von einer Feder gedämpft (mittlerer Schalter)
oder als uneingeschränkt verformbar
(rechter Schalter) festgelegt
werden kann. |
| Für die Festhaltungsrichtungen gilt das globale
X-Y-Z-Koordinatensystem. |
| Im Falle einer Federlagerung muss die zugeordnete
Federkonstante mit einem Wert > 0 angegeben werden. |
| Das so definierte Lager kann in der Ebene senkrecht
zur X-Achse um die Werte ΔY und ΔZ verschoben und
um den Wert φ um die X-Achse gedreht werden; s. hierzu das
Globale Koordinatensystem und die Exzentrizitäten. |
|
|
|
 |
|
 |
um eine neue Streckenlast zu erzeugen,
führen Sie die Maus über das erzeugen-Symbol
und klicken
auf das Streckenlastsymbol. |
| Um eine bestehende Streckenlast zu
bearbeiten, führen Sie im Baumansichtsfenster oder im Objektfenster einen Doppelklick über dem Objekt aus. |
|
|
|
 |
| um mehrere bestehende Streckenlasten
zu vereinheitlichen, wählen Sie die Objekte im Baumansichtsfenster
oder im Objektfenster durch einfaches Anklicken
mit der linken Maustaste aus und klicken danach
das bearbeiten-Symbol
an. |
| In dem hierdurch erscheinenden symbolischen
Untermenü klicken Sie auf das Streckenlastsymbol. |
|
|
|
| In allen genannten Fällen erscheint das Eigenschaftsblatt
zur Bearbeitung der Streckenlasteigenschaften. |
|
 |
|
| Zunächst ist in der Auswahlliste oben links der
Lasttyp festzulegen. |
| Hier wird zwischen Streckenlasten in X-, Y- und
Z-Richtung, einem Streckendrillmoment um die Längsachse, Eigengewichtslasten
und Temperaturlasten (ggf. veränderlich in Y- und Z-Richtung)
unterschieden. |
| Einige dieser Lasttypen erlauben eine weitere
Unterscheidung wie konstante Rechteck-, Dreiecks-, Trapezlast
etc. |
| Diese Einstellungen können in der zusätzlich
angebotenen Symbolleiste ausgewählt werden. |
Das sich darunter befindliche größere Fenster
zeigt die aktuelle Auswahl mit allen hierzu gehörenden
Eingabewerten
in einer Skizze an. |
|
| Auf der rechten Seite des Eigenschaftsblatts werden
die Parameter des links ausgewählten Streckenlastbildes zur
Bearbeitung angeboten. |
| Hier sind zunächst die geometrischen Eigenschaften
(Anfang und Ende der Streckenlast, Exzentrizität des Lastangriffspunkts
sowie Verdrehung der Lastrichtung) einzugeben; s. hierzu auch Anker und Abstände. |
| Des Weiteren sind die Lastordinaten und die Zuordnung
zu einem Lastfall zu bestimmen. Dazu sind zunächst die
Einwirkung und danach der gewünschte Lastfall für
das Lastbild auszuwählen. |
|
| Nach Bestätigen des Eigenschaftsblatts werden
die editierten Eigenschaften von der Streckenlast (im Falle
der Vereinheitlichung: von allen ausgewählten Streckenlasten)
übernommen. |
|
|
|
 |
|
 |
um eine neue Punktlast zu erzeugen,
führen Sie die Maus über das erzeugen-Symbol
und klicken
auf das Punktlastsymbol. |
Um eine bestehende Punktlast zu bearbeiten,
führen Sie im Baumansichtsfenster oder im Objektfenster
einen Doppelklick über dem Punktlast-Objekt aus. |
|
|
|
 |
um mehrere bestehende Punktlasten
zu vereinheitlichen, wählen Sie die Objekte im Baumansichtsfenster
oder im Objektfenster durch einfaches Anklicken
mit der linken Maustaste aus und klicken danach
das bearbeiten-Symbol
an. |
| In dem hierdurch erscheinenden symbolischen
Untermenü klicken Sie auf das Punktlastsymbol. |
|
|
|
| In allen genannten Fällen erscheint das Eigenschaftsblatt
zur Bearbeitung der Punktlasteigenschaften. |
|
 |
|
| Zunächst ist in der Auswahlliste oben links der
Punktlasttyp festzulegen. Hier wird zwischen den Typen |
|
 |
Kraft in X-Richtung in Kombination mit einem
Moment um die X-Achse |
 |
... Y-Richtung in Kombination mit einem
Moment um die Z-Achse |
 |
... Z-Richtung in Kombination mit einem
Moment um die Y-Achse |
|
|
 |
Zwangsverschiebung Δux in Kombination
mit einer Zwangsverdrehung Δφx |
 |
... Δuy in Kombination mit einer Zwangsverdrehung
Δφz |
 |
... Δuz in Kombination mit einer Zwangsverdrehung
Δφy |
|
|
 |
Verschiebungssprung Δux in Kombination
mit einem Verdrehungssprung Δφx |
 |
... Δuy in Kombination mit einem Verdrehungssprung
Δφz und |
 |
... Δuz in Kombination mit einem Verdrehungssprung
Δφy |
|
|
| unterschieden. |
| Zwangsverformungen können in Verbindung mit einem
Lager die Lastart Stützensenkung simulieren. |
| Mit Hilfe von Verformungssprüngen lässt sich die
Figur einer Einflusslinie ermitteln. |
| Das sich unterhalb der Lasttypauswahl befindliche
Fenster zeigt die aktuelle Auswahl in einer Skizze mit allen
zugehörigen Eingabewerten an. |
Auf der rechten Seite des Eigenschaftsblatts werden
die Parameter des ausgewählten Punktlastbildes zur
Bearbeitung angeboten. |
| Hier sind zunächst die geometrischen Eigenschaften
(Abstand der Punktlast vom angegebenen Ankerpunkt, Exzentrizität
des Lastangriffspunkts sowie Verdrehung der Lastrichtung) einzugeben;
s. auch Anker und Abstände. |
| Des Weiteren sind die Lastordinaten und die Zuordnung
zu einem Lastfall zu bestimmen. Dazu sind die zunächst
die Einwirkung und danach der gewünschte Lastfall für
das Lastbild auszuwählen. |
|
| Nach Bestätigen des Eigenschaftsblatts werden
die editierten Eigenschaften von der Punktlast (im Falle der
Vereinheitlichung: von allen ausgewählten Punktlasten) übernommen. |
|
|
|
 |
|
 |
um ein neues Imperfektionsbild zu
erzeugen, führen Sie die Maus über das erzeugen-Symbol
und klicken
auf das Imperfektionsbildsymbol. |
| Um ein bestehendes Imperfektionsbild
zu bearbeiten, führen Sie im Baumansichtsfenster oder im Objektfenster einen Doppelklick über dem Objekt aus. |
|
|
|
 |
um mehrere bestehende Imperfektionsbilder
zu vereinheitlichen, wählen Sie die Objekte im Baumansichts-
fenster
oder im Objektfenster durch einfaches Anklicken
mit der linken Maustaste aus und führen danach die
Maus über das bearbeiten-Symbol. |
| In dem hierdurch erscheinenden symbolischen
Untermenü klicken danach das Imperfektionsbildsymbol an. |
|
|
|
| In allen genannten Fällen erscheint das Eigenschaftsblatt
zur Bearbeitung der Imperfektionsbildeigenschaften. |
|
 |
|
Auf oberster Ebene wird zunächst zwischen den
Verschiebungs-Imperfektionen in der XY-Ebene und in der
XZ-Ebene
und der Verdrehungsimperfektion um die X-Achse unterschieden. |
Während die Verdrehungsimperfektion über ihre
Stützwerte Verdrehung am Anfang (Θa) und Verdrehung am
Ende (Θe) beschrieben wird, können die Verschiebungsimperfektionen
auf unterschiedliche Arten beschrieben
werden: |
| Beschreibungsart |
Stützwerte |
normenkonform
(Parabel 2. Grades) |
entweder wc, w0, Φ0
oder wa,
wm, we |
allgemein
(Parabel 3. Grades) |
entweder Φa, wa, Φe, we
oder xi,
w(xi); i=1..4 |
|
| Hierin bedeuten |
|
| wc |
konstante (Festkörper-)Verschiebung |
| w0 |
Vorverformung (Durchbiegung) in der Mitte |
| Φ0 |
Schiefstellung (Verdrehung um die Mitte) |
| wa |
Verschiebungsordinate am Anfang der Imperfektion |
| wm |
... in der Mitte der Imperfektion (wm = wc + w0 ) |
| we |
... am Ende der Imperfektion |
| Φa |
Verdrehung am Anfang der Imperfektion |
| Φe |
... Ende der Imperfektion |
| xi |
Abstand i vom Anfang der Imperfektion |
| w(xi) |
für die Stelle xi festgelegte Verschiebungsordinate |
|
|
| Das unter den Auswahllisten befindliche größere
Fenster zeigt die aktuelle Auswahl mit allen hierzu gehörenden
Eingabewerten skizzenhaft an. |
| Unter Einheiten kann festgelegt werden, ob sich die angegebenen Stützwerte längenbezogen
oder als absolute Größen in mm bzw. % verstehen. |
|
Auf der rechten Seite des Eigenschaftsblatts werden
die Parameter des links ausgewählten Imperfektionsbildes
zur
Bearbeitung angeboten. |
Hier sind zunächst die geometrischen Eigenschaften
(Anfang und Ende des Imperfektionsbildes) einzugeben;
s. hierzu auch Anker und
Abstände. |
| Unterhalb der Skizze links befindet sich das Eingabefeld
zur Drehung der Stützwerte um die X-Achse. |
| Im Fenster Stützwerte sind die Zahlenwerte
in Abhängigkeit des gewünschten Beschreibungstyps einzugeben. |
| Im Fenster Ergebnis (qualitativ) wird
das Ergebnis passend zur aktuellen Eingabesituation dargestellt. |
| Abschließend muss die Zuordnung zu einer
Imperfektion erfolgen. |
|
Nach Bestätigen des Eigenschaftsblatts werden
die editierten Eigenschaften von dem Imperfektionsbild (im Falle
der Vereinheitlichung: von allen ausgewählten Imperfektionsbildern)
übernommen. |
|
| Für Imperfektionen n. DIN EN 1993 können
die Stützwerte durch Betätigen des berechnen-Buttons
belegt werden. |
| Es erscheint eine Eingabehilfe für Schiefstellung
und Vorkrümmung nach EC3, Kapitel 5.3: |
|
 |
|
| Zur Eingabe der Knicklinie kann durch Anklicken
des Wortes Tabelle 6.2 eine weitere Eingabehilfe aktiviert werden. |
|
 |
|
|
|
 |
|
 |
| Der Inhalt des Ergebnisfensters dient
dazu, die Ergebnisse des gegebenen Systems jederzeit
zu kontrollieren. |
| Man beachte, dass der Inhalt des Fensters
stark von den in eckigen Klammern gesetzten Steuerelementen
in der Programmkopfzeile abhängt! |
| Näheres hierzu in das
Ergebnisfenster und Darstellungsoptionen
im Ergebnisfenster. |
|
|
|
 |
|
 |
| Um das Verformungsverhalten - hier
insbesondere das Zusammenspiel von Verschiebungen,
Verdrehungen, Verwindungen und Verwölbungen - zu
studieren, kann das 3D-Visualisierungsmodul aufgerufen
werden. |
|
|
|
| Mit diesem Modul wird der Benutzer in die Lage
versetzt, die Verformungsfigur von jedem Lastfall (oder Lastkollektiv)
räumlich aus beliebig wählbaren Blickwinkeln zu betrachten. |
Aktuell auf dem Bildschirm dargestellte Inhalte
können auf dem Drucker ausgegeben oder in die Druckliste
ausgewählte Grafiken gespeichert werden. |
|
 |
|
 |
Um die Ergebnisse - insbesondere auch
die Ergebnisse der Nachweise - numerisch einzusehen,
bietet sich
die Einsichtnahme in die Druckliste
an. |
 |
| In dem Pulldown-Menü des
Druckersymbols werden folgende Aktionen
angeboten (von links nach rechts) |
|
 |
Auswahl der Elemente
(Tabellen und Grafiken) der Druckliste |
 |
Druckliste am Bildschirm einsehen |
 |
Druckmanager zum Ausdruck der
Druckdokumente aufrufen |
|
|
|
|
|
|
|
|
 |
|
| Um den Inhalt des Ergebnisfensters bzgl. Auswahl
und Form zu verändern, klicken Sie auf das Symbol Ergebnistypauswahl. |
In dem hierdurch hervorgerufenen Eigenschaftsblatt
finden Sie eine große Anzahl darstellbarer Ergebnistypen,
die
im Ergebnisfenster ein- oder ausgeblendet werden können. |
| Um die Grafiken im Ergebnisfenster zu skalieren,
klicken Sie auf den Bearbeitungsbutton. |
| In dem Eigenschaftsblatt Skalierungen können die Grafiken zur Lastdarstellung und zu den Ergebnissen
über Schiebeschalter gespreizt (vergrößert oder verkleinert)
werden. |
| Die im Ergebnisfenster verwendeten Koordinatensysteme
sind rechtshändig und orthogonal. |
|
 |
Globales Koordinatensystem
(grün) |
|
 |
| Das in Großbuchstaben geschriebene X-Y-Z-Koordinatensystem ist das globale und
ortsfeste Koordinatensystem, von dem alle geometrischen
Beschreibungen ausgehen. |
|
 |
Querschnittskoordinatensystem
(blau) |
|
 |
| Das in Kleinbuchstaben geschriebene x-y-z-Koordinatensystem ist das Querschnittsbeschreibungskoordinatensystem. |
Es ist gegenüber dem globalen System
i.A. um ΔY und ΔZ verschoben
und um
den Winkel φ verdreht. |
Entsprechende Festlegungen trifft
der Benutzer abschnittsweise im
Register Ausrichtung des Eigenschaftsblatts zur Beschreibung der Abschnitte. |
Man beachte, dass der Nullpunkt des
x-y-z-Systems bei Standardprofilen und parametrisiert
beschriebenen Querschnitten immer dem Mittelpunkt
des umgebenden Rechtecks entspricht! |
| Allein bei aus 4H-QUER importieren Querschnitten wird das vom Benutzer
bei der Konstruktion gewählte Koordinatensystem
verwendet. |
|
 |
Hauptträgheitsachsen
(rot) |
|
 |
| Das l-η-ζ-Koordinatensystem
ist das in die Hauptträgheitsachsen gedrehte Querschnittskoordinatensystem,
dessen Nullpunkt im Schwerpunkt des Querschnitts
liegt. |
|
 |
|
|
|
|
 |
|
| Das Programm 4H-DULAS berechnet Stahlträger
nach der Theorie der Wölbkrafttorsion und der Th. II.
Ordnung. |
Für den räumlich belasteten Träger
werden unter Berücksichtigung von Imperfektionen Verformungen
und
Schnittgrößen ermittelt. |
| Der Träger wird im globalen X-Y-Z-Koordinatensystem
beschrieben, das der Ausrichtung und Vermessung der Abschnitte,
Lager und Lastbilder dient. |
| Die X-Achse zeigt in Längsrichtung des Durchlaufträgers. |
| Die Querschnitte werden in der zur X-Achse senkrecht
stehenden YZ-Ebene beschrieben. |
| Die einzelnen Querschnittsformen (Profile, typisierte
Querschnitte, mit 4H-QUER konstruierte Querschnitte) verfügen zur bequemen Eingabe
über ein lokales yz-Beschreibungskoordinatensystem. |
| In der globalen YZ-Ebene kann der Querschnitt
beliebig ausgerichtet und gedreht werden. |
|
 |
Man beachte die Groß- und Kleinschreibung zur Unterscheidung zwischem globalem KOS (groß)
und lokalem Querschnittskoordinatensystem (klein)! |
|
|
|
|
|
|
|
| Die klassische Stabtheorie geht von der Formerhaltung
des Querschnitts aus. |
| Die Querschnittslage lässt sich im lokalen
xyz-Querschnittskoordinatensystem über drei Verschiebungen
ux, uy, uz und drei Verdrehungen φx, φy, φz beschreiben. |
Bei der Theorie der Wölbkrafttorsion wird
die Verwölbung des Querschnitts durch das Produkt der
Einheitsverwölbung
ω mit der Verwindung ψx beschrieben. |
Bei Stäben ohne Schubverformungen steht der
Querschnitt auch nach der Deformation orthogonal auf der
verformten
Stabachse (Normalenhypothese). |
Daraus resultieren Beziehungen zwischen den Querschnittsverdrehungen
φx, φy, φz und der Richtung der
verformten Stabachse
ux', uy', uz' (Ableitung der Verformungen nach der x-Koordinate). |
|
|
|
Neben dem globalen XYZ-Koordinatensystem und dem
xyz-Beschreibungskoordinatensystem gibt es das durch
den Schwerpunkt S verlaufende lmn-System, dessen Achsen parallel
zu den xyz-Achsen verlaufen (Entkopplung der Fläche und
der Trägheitsmomente), sowie das durch S verlaufende ξηζ-Hauptachsensystem
(Entkopplung der Trägheitsmomente). |
| Zur Beschreibung der Torsion wird der Schubmittelpunkt
M mit den Koordinaten (yM, zM) als Drehpunkt verwendet (z.B.
normierte Einheitsverwölbung ω). |
|
|
|
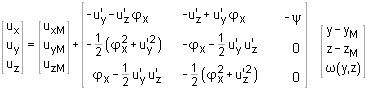
| Bezogen auf den Schubmittelpunkt lautet der Verschiebungsansatz
für einen beliebigen Querschnittspunkt bei quadratischer
Approximation der Querschnittsrotation |
|
|
|
| Wegen der Normalenhypothese folgt aus |
|
|
|
unter Vernachlässigung von die Beziehung |
|
|
|
| Im Verschiebungsansatz wird die Verwölbung
vereinfacht in Richtung der undeformierten Stabachse angenommen. |
| Die sekundären Wölbschubverzerrungen
(Wagner-Hypothese) sowie nichtlineare Verdrillungsanteile werden
im Folgenden vernachlässigt. |
|
| Schnittgrößen und Spannungen |
|
|
| Die Schnittgrößen ergeben sich durch
Integration der Normal- bzw. Schubspannungen über den Querschnitt. |
Die Schnittkräfte wirken in Richtung der
verformten Querschnittsachsen, die Momente drehen um die
entsprechenden
Achsen in positiver Richtung (Rechte-Hand-Regel) |
|
|
|
| Mit den Biegemomenten im Hauptachsensystem und
den entsprechenden Trägheitsmomenten können die Normalspannungen
aus den Schnittgrößen ermittelt werden |
|
|
|
| Für dünnwandige Querschnitte werden
zur Berechnung der Schubspannungen in Richtung der Profilmittellinien
die statischen Momente Sη, Sζ, Sω und die Profildicken
t in Abhängigkeit der Profilkoordinate s benötigt |
|
|
|
Tp ist dabei das primäre Torsionsmoment aus St. Venant'scher Torsion und Ts das sekundäre
Torsionsmoment
aus Wölbkrafttorsion. |
| Im Folgenden werden für dünnwandige
Querschnitte die Indizes der Spannungen fortgelassen. |
| Für die Vergleichsspannung ergibt sich dann |
|
|
|
| Prinzip der virtuellen Arbeit |
|
|
| Das Gleichgewicht in integraler Form für
die Berechnungen nach Theorie II. Ordnung basiert auf dem Prinzip
der virtuellen Arbeit. |
Die innere virtuelle Arbeit ergibt sich mit dem
Verschiebungsansatz und der Definition der Schnittgrößen
zu
(u = uxM, v = uyM, w = uzM, φ = φx) |
|
|
|
Neben dem primären Torsionsmoment Tp tritt
hier das Torsionsmoment Tσ infolge Normalspannungen nach
Th. II. Ordnung (Wagner-Effekt) auf |
|
|
|
| Der Wagner-Koeffizient Kσ lässt sich
aus den Schnittgrößen im Hauptachsensystem berechnen |
|
|
|
Die Querschnittsstrecken ergeben sich durch Integration
des Quadrats des Schwerpunktabstands rS
über den Querschnitt |
|
|
|
| Die externe virtuelle Arbeit lässt sich folgendermaßen
angeben |
|
|
|
| Die Berücksichtigung von Lastexzentrizitäten
ex, ey, ez führt zu zusätzlichen von den Verdrehungen
abhängigen Momentenbelastungen |
|
|
|
| Ist die Einheitsverwölbung ωF des Querschnitts
am Lastangriffspunkt von Null verschieden, führt dies zu
einer zusätzlichen Wölbmomentenbelastung |
|
|
|
|
|
 |
|
| Die Stabformulierung im Programm 4H-DULAS
enthält die für die Baupraxis wichtigsten Effekte
zur Untersuchung der Stabilität von Stäben mit dünnwandigen
Querschnitten nach der Theorie der Wölbkrafttorsion. |
| An Hand einfacher Beispiele werden diese Effekte
kurz dargestellt. |
|
| Wölbkrafttorsion |
|
| Die Verwölbung eines Querschnitts ist bei
Einhaltung der Normalenhypothese mit der Verdrillung gekoppelt. |
An Stellen des Stabes an denen die Verwölbung
behindert ist (z.B. Stirnplatte) oder an denen sich das Torsions-
moment sprunghaft ändert, treten Zwängungen auf, die
zu erheblichen zusätzlichen (Wölb-)Normalspannungen
führen können. |
| Der Einfluss der Wölbkrafttorsion kann durch
die Stabkennzahl εT für
Torsion charakterisiert werden: |
|
|
|
| Hierbei ist l die Stablänge, λω der Abklingfaktor und lω die Wölblänge. |
Bei kleiner Stabkennzahl (< 15) ist Wölbkrafttorsion
zu berücksichtigen, bei großen Werten von εT liegt i.W.
St. Venant'sche Torsion vor. |
| Das Wölbmoment Mω bzw. das sekundäre Torsionsmoment Ts klingen
in der Entfernung von lω um den Faktor 1/e=0.368
ab. Die Wölblänge wird zur (automatischen) Teilung
der Stababschnitte zur Berechnung verwendet. |
Nachfolgend sind einige Berechnungen mit 4H-DULAS
für Torsionsbelastung nach Theorie I. Ordnung aufgeführt,
die die Genauigkeit der Berechnung nach der Theorie der Wölbkrafttorsion
zeigen. |
| Die theoretischen Lösungen gelten für
einen unendlich langen Stab. Als Querschnitt wurde ein IPE300
verwendet, die Lastordinaten haben jeweils den Wert 1.0. |
|
 |
|
| Für den Fall eines Torsionsmoments MX im ungestörten Stabbereich (Stabmitte) gilt für
die Schnittgrößen im Lastangriffspunkt |
|
|
|
 |
|
Für den Fall eines Torsionsmoments MX am Stabanfang mit starrer Wölbeinspannung gilt für
die Schnittgrößen
des Anfangspunktes |
|
|
|
 |
|
| Für den Fall eines Linientorsionsmoments
mX mit starrer Wölbeinspannung am Stabanfang
gilt für die Schnittgrößen |
|
|
|
 |
|
| Das nächste Beispiel soll den Einfluss von
Belastungen in Stablängsrichtung auf die Verdrillung des
Trägers zeigen. |
| Beim Z-Profil ist die Einheitsverwölbung
ωS des Querschnitts im Schwerpunkt
von Null verschieden. |
Dies führt bei einem Kragarm unter einer
Längskraft im Schwerpunkt des Stabendpunkts zu einer Wölbmomentenbelastung
von .
Der Stab wird sich demnach verdrillen. |
| Das folgende Bild zeigt die Deformation des Trägers
bei Berechnung mit 4H-DULAS. |
|
 |
|
| Die Ergebnisse der entsprechenden FEM-Berechnung
mit 4H-ALF3D (Faltwerkselemente) zeigen bis auf Effekte
aus Lasteinleitung und Querschnittsverformungen sehr gute Übereinstimmungen
mit den Resultaten von 4H-DULAS. |
|
 |
|
Der Lastangriffspunkt kann in 4H-DULAS
beliebig gewählt werden. Die Verwölbung ist jedoch
nur für die Kontur des dünnwandigen Querschnitts bekannt.
Für Punkte ausserhalb der Kontur wird die Verwölbung
durch Mittelung aus
den umliegenden Querschnittsteilen berechnet. |
|
| Knicken |
|
| Durch den Verdrehungsanteil senkrecht zur Stablängsachse
der inneren virtuellen Arbeit nach Theorie II. Ordnung (Biegeabtriebsterme)
ergeben sich bei von Null verschiedener Normalkraft zusätzliche
Liniendrillmomente. |
|
|
|
| Bei konstanter Normalkraft entspricht dies Zusatzquerbelastungen
und Kräften am Anfang und Ende des Stabes. |
|
|
|
Setzt man in diese Beziehungen die Verformungen
der Imperfektion Schiefstellung oder Vorkrümmung ein,
erhält man die Ersatzlasten nach DIN 18800. |
|
| Biegedrillknicken |
|
Durch den Verdrehungsanteil um die Stablängsachse
der inneren virtuellen Arbeit nach Theorie II. Ordnung (Kippabtriebsterme)
ergibt sich bei Vorhandensein von Biegemomenten ein zusätzliches
Liniendrillmoment;
v0 bzw. w0 sind dabei die Vorverformungen
in y- bzw. z-Richtung. |
| Näherungsweise erhält man für Querschnitte
ohne Hauptachsendrehung |
|
|
|
Die Verdrillung bei Momentenbelastung ist demnach
für Querschnitte mit unterschiedlichen Trägheitsmomenten
am größten. |
| Für einen gabelgelagerten Einfeldträger
ergeben sich für die Momente nach Theorie I. Ordnung aus
konstanten Querlasten qy, qz und für
konstante Vorkrümmungen mit dem Stich vm, wm |
|
|
|
| Bei kleinen Verdrehungen φx berechnet
sich das Drillmoment Mx am Stabende dann zu |
|
|
|
Für einen Träger der Länge 5 m
mit dem oben dargestellten Querschnitt IPE300 ergibt sich in
als Näherung
(Einheiten kN, m) |
|
|
|
| Bei Berechnung des Trägers mit 4H-DULAS
kann eine sehr gute Übereinstimmung festgestellt werden. |
| Exzentrisch angreifende Querlasten und Drehfedern
cφ verursachen ein zusätzliches Drillmoment |
|
|
|
Der von der Verdrehung um die Stabachse φx abhängige Anteil hat Einfluss auf die Stabilität des
Systems im
Hinblick auf das Biegedrillknicken. |
|
| Wagner-Effekt |
|
| Neben dem primären Torsionsmoment Tp tritt bei der inneren virtuellen Arbeit nach Theorie II. Ordnung
das Torsionsmoment Tσ infolge Normalspannungen
nach Theorie II. Ordnung auf (Drillabtriebsterm) |
|
|
|
| Der Wagner-Koeffizient Kσ lässt
sich aus den Schnittgrößen im Hauptachsensystem berechnen |
|
|
|
Ein von Null verschiedener Wagner-Koeffizient
entspricht einer Vergrößerung (Kσ > 0)
oder Verkleinerung (Kσ< 0)
des Torsionsträgheitsmoments
IT und wirkt sich deshalb auf die Stabilität
des Trägers aus. |
| Eine sehr große Drucknormalkraft (N <
0) kann zum (Biege)Drillknicken führen. |
| Die Querschnittsstrecken rη, rζ sind bei Symmetrie der entsprechenden Richtung gleich 0. |
Andernfalls (z.B. rζ beim T-Profil)
ergeben sich je nach Vorzeichen des zugehörigen Biegemoments
(Mη beim T-Profil) unterschiedliche Werte, bei denen das Biegedrillknicken
eintritt. |
| Für einen doppeltsymmetrischen, beidseitig
gabelgelagerten Träger unter zentrischer Normalkraft ergibt
sich als kritische Normalkraft für Biegeknicken und Drillknicken |
|
|
|
 |
|
Die kritischen Werte eines Trägers mit 8
m Länge und dem oben abgebildeten Querschnitt sind NB = 2835.3 kN
und ND = 2018.6 kN. |
| In diesem Fall tritt das Drillknicken vor dem
Biegeknicken ein. |
Bei einer Berechnung des Trägers mit 4H-DULAS
wird für ND = 2020 kN und nach Stabilisierung
des Trägers mit
einer Drehfeder für NB = 2836 kN die Instabilität des Systems gemeldet. |
|
 |
|
Für einen zur z-Achse symmetrischen, beidseitig
gabelgelagerten Träger unter konstanter Gleichlast in der
Symmetrieachse und dem Lastangriffspunkt zp (Abstand
vom Schwerpunkt) ergibt sich überschlägig nach
DIN 4114, Blatt 2, als kritischer Lastwert für Biegedrillknicken |
|
|
|
| Je nach Lastrichtung kann der Betrag der Last
unterschiedliche Größenordnungen annehmen, wenn die
Last exzentrisch zum Schubmittelpunkt wirkt oder die Querschnittsstrecke
rz (s. Wagner-Koeffizient) ungleich Null ist. |
|
Die nachstehende Tabelle zeigt die kritischen
Lastfaktoren in positiver und negativer z-Richtung eines beidseitig
gabelgelagerten Trägers mit T140-Profil, der 5 m lang ist
und mit einer Gleichstreckenlast von 1 kN/m belastet ist,
für unterschiedliche Lastangriffspunkte. |
|
 |
|
Lastangriffspunkt zp
bzgl. Schwerpunkt
in cm
|
kritischer Lastfaktor
in pos. z-Richtung |
kritischer Lastfaktor
in neg. z-Richtung |
DIN 4114 |
4H-DULAS |
DIN 4114 |
4H-DULAS |
-10 |
28.76 |
29.2 |
30.35 |
29.9 |
-5 |
31.28 |
31.6 |
27.90 |
27.8 |
0 |
34.01 |
34.2 |
25.66 |
25.8 |
5 |
36.94 |
37.0 |
23.63 |
23.9 |
10 |
40.06 |
40.0 |
21.78 |
22.2 |
|
|
|
|
 |
|
| Nachweis DIN EN 1993 |
|
| Der Tragsicherheitsnachweis der offenen, dünnwandigen
Querschnitte kann nach den Nachweisverfahren |
|
 |
Elastisch-Elastisch (E-E) (DIN EN 1993-1-1,
Abschnitt 6.2.1(5)) oder |
 |
Elastisch-Plastisch (E-P) (DIN EN 1993-1-1, Abschnitt
6.2.1(6)) |
|
|
| geführt werden. |
|
|
| Beim Nachweisverfahren Elastisch-Elastisch (E-E)
werden die Schnittgrößen (Beanspruchungen) auf Grundlage
der Elastizitätstheorie bestimmt. |
| Der Spannungsnachweis erfolgt mit dem Fließkriterium
aus DIN EN 1993-1-1, Abschnitt 6.2.1(6), Formel 6.1. |
|
|
|
| Beim Nachweisverfahren Elastisch-Plastisch (E-P)
werden die Schnittgrößen (Beanspruchungen) gleichfalls
auf Grundlage der Elastizitätstheorie bestimmt. |
Anschließend wird überprüft,
ob die Schnittgrößen (zweiachsige Beanspruchung einschl.
St. Venant'scher Torsion
und Wölbkrafttorsion) vom Querschnitt
unter Ausnutzung der plastischen Reserven aufgenommen werden können
(plastische Querschnittstragfähigkeit). Die verwendeten Berechnungsverfahren
sind allgemeingültiger als die in
DIN EN 1993 angegebenen Interaktionen
für spezielle Schnittgrößenkombinationen. |
|
Für Dreiblechquerschnitte
(I-, C-, U-, Z-, L-, T-Querschnitte) und Flachstahl bzw. Rechteckrohre als
Profile oder
typisierte Querschnitte kommt das Teilschnittgrößenverfahren
(TSV) mit Umlagerung nach Kindmann zur
Anwendung (DIN18800 und DIN EN 1993). |
|
Kindmann, R., Frickel, J.: Elastische
und plastische Querschnittstragfähigkeit,
Grundlagen, Methoden, Berechnungsverfahren, Beispiele, Verlag Ernst & Sohn, Berlin 2002 |
|
|
| Bei Nachweisen nach DIN EN 1993
können beliebige dünnwandige Querschnitte mit dem erweiterten
Teilschnittgrößenverfahren oder mit Hilfe der Dehnungsiteration
plastisch nachgewiesen werden. |
| Für Dreiblechquerschnitte ist das Teilschnittgrößenverfahren
nach Kindmann am effizientesten. Deshalb kann es für diese Querschnitte
als Standardverfahren gewählt werden. |
|
|
|
| Bei allen plastischen Nachweisverfahren
wird zunächst eine Schubspannungsverteilung angenommen, die mit
den schuberzeugenden Schnittgrößen (Querkräfte, Torsionsmomente)
im Gleichgewicht steht. |
| Bei dem erweiterten Teilschnittgrößenverfahren
und der Dehnungsiteration werden die über die Querschnittsteile
gemittelten Schubspannungen der elastischen Verteilung verwendet.
Diese Aufteilung wird bei der anschließenden Berechnung der
Normalspannungen nicht weiter umgelagert. |
|
|
|
| Beim erweiterten Teilschnittgrößenverfahren
wird der Querschnitt wie beim TSV nach Kindmann in einzelne Bleche
aufgeteilt. Die Bleche haben den gleichen Schwerpunkt und die gleiche
Fläche wie die entsprechenden Querschnittsteile. |
| Als Teilschnittgrößen
der Bleche, die die Normalspannung erzeugen, werden die Normalkraft
und das Hauptbiegemoment angesetzt. Die Querbiegung wird vernachlässigt. |
Die maximal aufnehmbaren Teilschnittgrößen
werden unter Berücksichtigung des Gleichgewichts mit den
gesteigerten
äußeren Schnittgrößen (Normalkraft, Biegemomente
und Wölbmoment) und den plastischen Grenzbedingungen der Bleche
ermittelt. Man erhält so den maximalen Laststeigerungsfaktor; die plastische Ausnutzung ist dann dessen Kehrwert. |
| Die Berechnung erfolgt nach Linearisierung
der Grenzbedingungen mit einem Simplex-Verfahren zur Lösung des
zugrunde liegenden linearen Optimierungsproblems. Das Verfahren ist
sehr robust und effizient, weshalb es als Standardverfahren vorgesehen ist. |
|
|
|
| Das Verfahren der Dehnungsiteration
(DIV) wird in R. Kindmann, J. Frickel: Elastische und plastische
Querschnittstragfähigkeit (Kapitel 10.10) beschrieben. |
| Die angenommenen Schubspannungen reduzieren die zulässige Normalspannung
der Querschnittsteile. Können die Schubspannungen nicht aufgenommen
werden, muss der maximal mögliche Lastfaktor reduziert werden. |
Die Verwölbung der Querschnittsteile
wird wie beim elastischen Verfahren für dünnwandige Querschnitte
ermittelt und in den einzelnen Teilen als ebene Verformung angesetzt.
Durch Variation der Dehnungsebene
und der Verdrillungsableitung wird
unter Berücksichtigung der reduzierten zulässigen Normalspannungen
ein Dehnungszustand gesucht, dessen resultierende Schnittgrößen
ein maximales Vielfaches der aufzunehmenden Schnittgrößen sind. |
Dieser Grenzdehnungszustand darf
für keinen Querschnittspunkt die Bruchdehnung εu überschreiten
bzw. -εu unterschreiten. |
Falls der sich so ergebende maximale
Lastfaktor evtl. nicht mit dem für die Schubspannungen verwendeten
Lastfaktor übereinstimmt, sind weitere Berechnungsschritte notwendig,
bis die Lastfaktoren nahezu gleich sind. |
| Die Genauigkeit der Übereinstimmung
kann vorgegeben werden. Die Iteration der Schubausnutzung kann z.B.
für eine schnellere Berechnung abgestellt werden. |
| Im Gegensatz zum erweiterten Teilschnittgrößenverfahren
wird bei der Dehnungsiteration die Querbiegung der Querschnittsteile
berücksichtigt. Ausrundungen bzw. veränderliche Dicken der
Teile werden besser modelliert. Allerdings ist der Unterschied in
den errechneten plastischen Ausnutzungen zumeist recht gering. |
|
| Eine Begrenzung der Grenzbiegemomente wie in DIN
18800, El. 755, ist in DIN EN 1993 nicht erforderlich. |
|
|
|
| Die Grenzwerte grenz (c/t) werden je nach Nachweisverfahren
aus DIN EN 1993-1-1, Abs. 5.5.2, Tab. 5.2, ermittelt. |
| Dies entspricht der Überprüfung der
erforderlichen Klassifizierung des Querschnitts. |
| Lässt die Klassifizierung keinen plastischen
Nachweis zu, wird der elastische Nachweis geführt. |
|
|
|
 |
| zur Hauptseite 4H-DULAS,
Stahlträger / Stahlstütze |
 |
|
 |