 |
|
| Seite erweitert April 2024 |
 |
Kontakt |
 |
|
 |
Programmübersicht |
 |
|
 |
Bestelltext |
 |
|
|
|
|
|
| Handbuch |
 |
|
|
|
| Infos auf dieser Seite |
... als pdf |
 |
|
 |
 |
Eingabeoberfläche ................. |
 |
|
 |
Lager und Gelenke ................. |
 |
|
 |
Nachweis Holzträger .............. |
 |
|
 |
Glob. Einstellgn. / Trägertyp |
 |
|
 |
Belastung Begriffsdefinition ..... |
 |
|
 |
Plattenbem. Brettsperrholz |
 |
|
 |
Freies Material ...................... |
 |
|
 |
Linienbelastung ...................... |
 |
|
 |
Brandschutznachweis ............ |
 |
|
 |
Stabeigenschaften ................. |
 |
|
 |
Punktbelastung ...................... |
 |
|
 |
Schwingungsnachweis ........... |
 |
|
|
|
 |
|
|
 |
|
| Nach Doppelklicken des Bauteilicons
erscheint die 4H-DLHWD-Eingabeoberfläche. |
|
|
 |
|
| Bild vergrößern |
 |
|
|
|
|
Das Haupteingabefenster ist in drei Bereiche gegliedert. Zwischen den Teilfenstern befinden sich "Greifer" durch
die mit Hilfe der Maus die Fenstergrenzen verschoben werden können. |
|
| Objektbaum |
 |
| Im linken Teilfenster befindet sich der Objektbaum
mit den Stababschnitten, den Stabknoten/Auflagern und den Einwirkungen
mit den zugehörigen Lastfällen. |
| Ein einzelner Klick markiert einen Zweig oder einen
Knoten im Objektbaum. Ein Doppelklick öffnet das entsprechende
Bearbeitungsfenster. |
|
| Konstruktionsfenster |
 |
| Im Teilfenster oben rechts befinden sich das System
und die Lasten. |
| Ein Doppelklick auf ein Objekt öffnet auch
hier das passende Eingabefenster. |
|
| Ergebnisfenster |
 |
| Im Teilfenster unten rechts werden die Ergebnisse
dargestellt. |
|
 |
über die Listbox in der oberen Buttonleiste kann
gewählt werden, welche Zwischen- oder Endergebnisse im
Ergebnisbereich dargestellt werden sollen |
|
|
Zwischen den Teilfenstern befinden sich "Greifer"
durch die mit Hilfe der Maus die Fenstergrenzen verschoben
werden können. |
|
|
|
 |
|
Für den Träger müssen die Berechnungsnorm,
der Querschnittstyp sowie die Geometrie- und Materialdaten
eingegeben werden. |
| Diese Daten gelten global für den gesamten
Träger. |
Neben der Vorgabe der Norm und der Trägerparameter
werden in diesem Fenster die Einstellungen für die zu
führenden Nachweise vorgenommen. |
| Das Fenster enthält vier Register, in denen
die entsprechenden Parameter gesetzt werden. |
|
|
|
|
| Register 1: Norm / Globale Werte |
 |
|
| Das Modul Wohnraumdecken bietet ausschließlich
Berechnungen nach DIN EN 1995 an. |
| Über das Flaggensymbol wird zusätzlich
das nationale Anwendungsdokument bestimmt. Zum Lieferumfang
gehört das deutsche NAD; weitere Anwendungsdokumente können
benutzerseits eingerichtet werden. |
|
|
|
| Gemäß /16/, 2.3.1.3, müssen Holzbauwerke
wegen der physikalischen Eigenschaften der Holzbaustoffe bestimmten
Nutzungsklassen, die die klimatischen Verhältnisse der Umgebung
des Bauwerks während der Nutzungsdauer wiedergeben, zugewiesen
werden. |
| Die Definition der Nutzungsklassen findet sich in
/16/, 2.4.1(1). |
|
|
|
|
| Im Programm gelten die |
 |
Materialsicherheitsbeiwerte gemäß
/16/, 2.4.1(1) |
 |
kmod-Werte gemäß /16/,
3.1.3, und Verformungsbeiwert kdef gemäß /16/, 3.1.4 |
 |
empfohlenen Grenzwerte für Verformungen
gemäß /16/, 7.2 |
|
|
|
| Die Temperaturausdehnungskoeffizienten für
Holz und Stahl sind mit sinnvollen Werten vorbelegt, können
aber bei Bedarf vom Nutzer verändert werden. |
|
 |
|
|
|
| Register 2: Trägertyp / Maße |
 |
|
| In der Auswahlleiste in der oberen Fensterhälfte
wird der Querschnittstyp gewählt. |
| Folgende Typen stehen zur Auswahl |
|
 |
Vollholz |
 |
Brettsperrholz |
 |
Balkendecke |
|
|
|
|
Entsprechend dem gewählten Querschnittstyp
werden in der darunter abgebildeten Querschnittsskizze die
Maße der Teilquerschnitte und ggf. die Achsabstände der Träger in mm eingegeben. |
| Brettsperrholzdecken werden grundsätzlich entsprechend /16/ und /41/ schubweich gerechnet. |
Bei Vollholz oder Balkendecken kann gewählt werden, ob Schubverformungen
Berücksichtigung finden sollen.
Diese Option sollte bei schubweichen
Materialien, wie z.B. Steicoträgern, auf jeden Fall gewählt werden. |
|
|
|
| Register 3: Material / Nachweise |
 |
|
| Im dritten Register werden das Material gewählt und
die Einstellungen für Gebrauchs- und Tragfähigkeitsnachweise
vorgenommen. |
|
|
|
| Materialkennwerte Vollholz |
| Wird im zweiten Registerblatt Vollholz gewählt,
erscheinen hier die Auswahlmöglichkeiten für Holzart und -güte. |
| Folgende Holzarten werden angeboten |
|
| Die Materialkennwerte werden automatisch gesetzt. |
| Durch Deaktivieren des Optionsschalters können
die Werte verändert werden. |
|
|
|
| Bei Schichthölzern muss i.d.R. zusätzlich gewählt werden, ob die Lamellen flachkant oder hochkant liegen. |
|
| Materialkennwerte Brettsperrholz |
Wird im zweiten Registerblatt Brettsperrholz gewählt,
erscheinen hier die Auswahlmöglichkeiten für Hersteller
und -typ des Brettsperrholzes. |
| Folgende Hersteller werden angeboten |
|
|
|
|
|
|
|
 |
| Leno 2 (neue Querschnittsaufbauten) |
|
|
|
|
|
|
|
|
|
|
|
|
| Per Option wird die Faserrichtung der Decklage
angegeben. Im Regelfall sollten die Decklagen in Längsrichtung
verlaufen, da in dieser Richtung eine höhere Stefigkeit und
Festigkeit gegeben ist. |
|
| freies Material |
| Nach Anklicken des Optionsknopfs Freies Material wird über den Button Parameter ein Eigenschaftsblatt zur freien Definition des Deckenaufbaus geöffnet. |
|
 |
|
|
|
|
| Folgende Einstellungen sind zur Definition eines freien Materials vorzunehmen |
|
| Für jedes Material muss ein beliebiger Name festgelegt werden. |
|
|
|
|
| Die charakteristische Schubfestigkeit fv,k der
Hölzer ist anzugeben. |
|
|
|
|
| Die charakteristische Rollschubfestigkeit fvr,k der Querlagen ... |
|
|
|
|
| Die Torsionsschubfestigkeit hat keinen Einfluss auf die Nachweise. |
|
|
|
|
| Die ideelle Abbrandrate gilt für den
Brandschutznachweis. |
|
|
|
|
| Die Option Klebstoff temperaturbeständig hat
Einfluss auf den Brandschutznachweis. PUR-Klebstoffe sind i.d.R. nicht temperaturbeständig. |
|
|
|
|
| Die Option Schmalflächen verleimt hat keinen Einfluss auf die
Nachweise. |
|
|
|
|
|
In der Tabelle Brettlagen werden die einzelnen Brettschichten mit ihrer
Holzart, -güte Ausrichtung und
Schichtdicke definiert. |
|
 |
|
 |
| Mittels der Bearbeitungsbuttons können Tabellenzeilen gelöscht,
kopiert oder hinten angefügt werden. |
|
|
|
 |
Über den Datenbankbutton können die neu definierten Sperrholztypen
gespeichert und für andere
Bauteile zur Verfügung gestellt werden. |
|
|
|
| Einwirkungen und Nachweise |
|
| Der Einwirkungsbutton öffnet das Fenster zur
Verwaltung der Einwirkungen und Lastfälle. |
Der Button zur Verwaltung der Nachweise ist standardmäßig
deaktiviert, da die gewählten Nachweise
mit den Standardextremierungsvorschriften vom Programm automatisch
angelegt werden. |
| Bei Bedarf können die Extremierungen jedoch
manuell verändert werden. |
| Hierzu ist der Optionsschalter auf benutzerdefiniert zu stellen. Daraufhin wird der Button zum Öffnen der Nachweisverwaltung
aktiviert. |
|
 |
|
| Tragfähigkeitsnachweise |
Durch Aktivieren des Optionsschalters wird bei Vollholzquerschnitten der Nachweis
im Grenzzustand
der Tragfähigkeit entspr. /16/, 6.2, geführt. |
| Die Option Biegedrillknicken nachweisen wird nur bei Vollholzquerschnitten
angeboten. |
| Bei Brettsperrholzquerschnitten wird der
Tragfähigkeitsnachweis nach /53/ und /64/ geführt. |
Der Nachweis der Auflagerpressung kann optional
geführt werden. Hierzu sind die zugehörigen
Lagerbreiten einzugeben. |
|
 |
|
| Gebrauchstauglichkeitsnachweise |
|
| Durch Aktivieren des entsprechenden Optionsschalters
wird als Nachweis der Gebrauchstauglichkeit der Verformungsnachweis
in der seltenen bzw. in der quasiständigen Bemessungssituation
gemäß /16/, 7, geführt. |
|
 |
|
|
| Register 4: Brandnachweis / Schwingnachweis |
 |
|
| Im vierten Register werden der Brandschutz- und der Schwingnachweis aktiviert. |
|
|
Der Abbrand kann für alle vier
Querschnittsseiten berechnet werden. Jede Seite kann geschützt oder
ungeschützt sein. Der Nachweis wird entspr. /64/, /65/ und /66/ geführt. |
|
 |
|
| Geforderte Zeitdauer des Feuerwiderstands gem. /65/. |
|
|
|
|
| In der Materialdatenbank werden Standardwerte der Abbrandrate des
gewählten Werkstoffs eingesetzt. |
|
|
| Optional kann jedoch die Rate vom Benutzer vorgegeben werden. |
|
|
| Jede der vier Seiten kann der Brandbeanspruchung ausgesetzt werden. |
|
|
|
|
| Im Falle einer geschützten Querschnittsseite muss die Zeit
tch, um die die Zeit des Abbrands verzögert wird, vorgegeben
werden. |
|
|
|
|
Im Normalfall ist die Zeit tf bis zum Versagen der
Brandschutzbekleidung gleich der Zeit tch,
um die die Zeit des Abbrands verzögert wird. in diesem Falle ist der kleine Button mit
dem Kreuz zu aktivieren. |
|
|
|
|
Ist die Zeit tf bis zum Versagen der
Brandschutzbekleidung ungleich der Zeit Zeit tch, muss
der kleine Button mit dem Pfeil aktiviert werden. |
|
|
|
|
| Sollte tch ungleich tf sein, muss der Beiwert
k2 gemäß /64/, 3.4.3.2 (2) und (3), eingegeben werden. |
|
|
|
|
Ein Klick auf den -Button öffnet
ein Fenster mit einem Hilfstool zur Berechnung des k2 - Werts
gemäß /64/, 3.4.3.2, Tabelle 2. |
|
 |
|
| Die resultierende Abbrandtiefe wird aus den Eingabedaten automatisch
berechnet. |
Durch einen Klick auf den -Button wird
das Eingabefeld freigegeben und die Abbrandtiefe kann direkt vorgegeben werden. |
|
|
|
|
| Optional kann auch im Brandfall Biegedrillknicken nachgewiesen werden. |
|
|
|
|
|
|
|
|
|
| Es kann ein Schwingnachweis gemäß /16/ 7.3, oder nach /49/ und /50/
geführt werden. Die Masse wird aus den ständigen Lasten automatisch vom Programm ermittelt. |
|
 |
|
| Es können zwei Nachweisverfahren können gewählt werden |
|
 |
| Verfahren n. DIN EN 1995-1-1, 7.3.3 |
| Folgende Einzelnachweise werden geführt |
 |
| Einhalten einer Mindestfrequenz von 8 Hz |
|
|
 |
| Nachweis der Steifigkeit unter einer Einzellast |
|
|
 |
| Nachweis der Einheitsimpulsreaktion |
|
|
 |
| Nachweis der Fersenauftrittsgeschwindigkeit |
|
|
 |
| Beschleunigung / Resonanzuntersuchung |
|
|
|
|
|
 |
| Verfahren n. Forschungsvorhaben der TU München /49/ |
| Folgende Einzelnachweise werden geführt |
 |
| Einhalten einer Mindestfrequenz |
|
|
 |
| Nachweis der Steifigkeit unter einer Einzellast |
|
|
 |
| konstruktive Anforderungen |
|
|
|
|
|
|
|
|
| Zwei Berechnungsverfahren sind implementiert |
|
 |
| die numerische Lösung |
| ... wird über eine Fourierreihenentwicklung realisiert. |
| Der Vorteil dieser Methode ist, dass die Mittelauflager als nachgiebige Unterzüge aus Holz, Stahl oder aus
freien Materialien ausgebildet werden können. |
|
|
|
|
|
Weiterhin kann bei Platten der Einfluss zusätzlicher Materialeigenschaften erfasst werden (Drillsteifigkeit
und Querkontraktion). |
|
|
 |
| das Näherungsverfahren |
| ... basiert auf den Formeln nach /16/, 7.3.3. |
| Bei diesem Verfahren wird näherungsweise die Frequenz eines Einfeldträgers ermittelt. |
| Über Korrekturbeiwerte kann eine Plattentragwirkung oder der Einfluss der Durchlaufwirkung eines zweiten Feldes erfasst werden, wobei alle Auflagerachsen starr sind. |
|
|
|
| Der quasiständige Lastanteil kann optional zur wirksamen Masse bei der Frequenzermittlung hinzugefügt werden. |
|
|
|
|
| Bei der Berechnung des Durchbiegungskriteriums sollte die Durchlaufwirkung gemäß /49/ nicht berücksichtigt werden. |
|
|
|
| Optional kann hier trotzdem die Durchlaufwirkung aktiviert werden, was zu günstigeren Ergebnissen führt und im Ermessen des Aufstellers liegt. |
|
Gelenke oder Federn im statischen System bleiben
bei der Frequenzermittlung unberücksichtigt. |
| Die Raumbreite kann Einfluss auf die mitwirkende Plattenbreiten bei der Berechnung der Durchbiegung haben. |
|
|
|
|
| Der Estrich spielt eine wichtige Rolle beim Schwingnachweis. |
Über den Optionsknopf Plattenwirkung berücksichtigen
wird eingestellt, dass die Estrichsteifigkeit angesetzt wird. |
Ein Klick auf den -Button
öffnet ein Auswahlfenster, das
die gebräuchlichsten
Estrichsorten enthält und bei Verlassen durch den Bestätigungsbutton den E-Modul in das zugehörige Eingabefeld übergibt. |
| Die Estrichdicke ist im Eingabefeld d einzugeben. |
|
|
|
|
| Die Masse der Decke wird automatisch vom Programm aus den Lasten der
Einwirkungen vom Typ Ständige Lasten ermittelt. Das Eigengewicht des
Estrichs ist daher als normale Linienlast einzugeben. |
|
| Optional kann zur Berechnung des Durchbieigungskriteriums die Schubverformung des Balkens oder der Platte berücksichtigt werden. |
| Dies führt bei schubweichen Materialien wie z.B. Brettsperrholz zu ungünstigeren Werten. |
|
|
|
|
| Bei Wahl des Nachweisverfahrens nach Eurocode 5 wird hier der
geforderte Wert für das Schwingungsverhalten gemäß /16/, 7.3.3, Bild 7.2, eingestellt. |
|
|
|
|
|
|
| Der modale Dämpfungsgrad ist eine dimensionslose Zahl und ein Maß für die Dämpfung eines schwingfähigen Systems. |
|
|
|
| An ihm kann abgelesen werden, wie sich das System nach einer Anregung verhält. |
|
|
|
|
|
 |
|
| Folgende Einstellungen sind zur Definition eines freien Materials erforderlich |
|
 |
|
| Für jedes Material kann ein beliebiger Name festgelegt werden. |
| Wird die Option Schmalflächen verleimt gewählt, entfällt
der Nachweis der Torsionsschubspannungen im Kreuzungspunkt (nur bei Scheibenberechnungen). |
| Schubfestigkeit, Torsionsschubfestigkeit und ideelle Abbrandrate werden in den Eingabefeldern
festgelegt. |
|
| In der Tabelle werden die einzelnen Brettschichten mit ihrer Holzart, -güte
und Ausrichtung und Schichtdicke definiert. |
|
 |
| Mittels der
Bearbeitungsbuttons können Tabellenzeilen gelöscht,
kopiert oder hinten angefügt werden. |
|
|
|
 |
Über den Datenbankbutton können die neu definierten Sperrholztypen gespeichert und für andere Bauteile zur Verfügung gestellt werden. |
|
|
|
|
|
 |
|
Ein Doppelklick auf den Stababschnitt oder den
Eintrag im Objektbaum öffnet das Eingabefenster
zur Bearbeitung
der Stabeigenschaften. |
| Das Fenster enthält zwei Register zur
Bearbeitung der stabbezogenen Parameter. |
| Im linken Teilfenster wird der
Stabquerschnitt dargestellt. |
|
 |
|
|
| Register 1: Abschnitt teilen |
 |
|
Wurde nur ein einzelner
Abschnitt markiert, enthält das erste
Register Angaben,
um den Abschnitt in weitere Teilabschnitte
zu unterteilen bzw. um die Abschnittslänge
zu editieren. |
| Eingabe der Länge des
markierten Abschnitts. |
|
|
 |
|
|
| Bei Wahl der Option regelmäßig wird der Abschnitt in gleichlange Abschnitte
unterteilt. |
Mit den hier dargestellten
Eingaben, würden drei Abschnitte mit einer
Länge von je
0.83 m entstehen. |
| Soll der Abschnitt nicht
unterteilt werden, ist bei Zwischenpunkte eine Null einzugeben. |
|
|
 |
|
|
| Bei Wahl der Option unregelmäßig wird der Abschnitt in ungleichlange Abschnitte unterteilt. |
| Es erscheint eine Tabelle, in der die
Abschnittslängen eingegeben werden können. |
| Mit den hier dargestellten Eingaben, würden
drei Abschnitte mit einer Länge von 1.0 m, 0.5 m und 1.0 m
entstehen. |
Mit der Option gemessen von kann angegeben werden, ob vom
Anfangs- oder vom Endpunkt ausgehend
gemessen wird. |
|
|
|
|
| Register 5: Nachweise |
 |
|
| Die Aktivierung der zu führenden Nachweise
erfolgt unter den globalen Einstellungen. |
| Alle Nachweisparameter, die nur für bestimmte
Stababschnitte gelten, werden hier eingestellt. |
|
| Die Vergleichslänge zur Berechnung der
zulässigen Durchbiegung kann direkt eingegeben oder
automatisch vom Programm ermittelt werden. |
| Bei automatischer Ermittlung wird als
Vergleichslänge der Abstand der Vertikallager des
betreffenden Abschnitts eingesetzt. Dies entspricht i.A. der
Feldlänge. |
| Bei aktivierter Kragarmoption wird die zulässige Verformung entspr. [16],
7.2 (2), für Kragarme erhöht. |
|
|
|
|
|
|
 |
|
Beim Durchlaufträger stehen zwei Freiheitsgrade
zur Verfügung, die unabhängig voneinander gelagert
werden
können. |
| Es handelt sich dabei um die Verschiebung
in z-Richtung und die Verdrehung um die y-Achse. |
|
| Das Fenster zur Eingabe der Lagerbedingungen
wird durch einen Doppelklick auf den betreffenden Knoten
im Haupteingabefenster geöffnet. |
|
|
|
| Die Wahl der Lagerbedingung für Verschiebung
und Verdrehung erfolgt über die Optionsschalter. |
| Bei elastischer Lagerung wird das entsprechende
Eingabefeld für die Federsteifigkeit freigeschaltet. |
|
 |
bzw. |
 |
|
|
| Bei elastischer Lagerung muss die entsprechende
Federsteifigkeit ermittelt und eingegeben werden. |
|
| Senkfeder |
| Bei Senkfedern kann
die Federsteifigkeit aus der Dehnsteifigkeit der
Lagerkonstruktion bzw. der Stütze unterhalb des
Lagers berechnet werden. Es gilt |
 |
|
|
|
|
| Drehfeder |
| Die Steifigkeit von Drehfedern ist von
der Biegesteifigkeit der entsprechenden Stütze abhängig. |
| Bei der Steifigkeitsberechnung muss zwischen
Stützen mit Fußeinspannung und solchen mit gelenkigem
Anschluss unterschieden werden. |
| Bei einer Stütze mit Fußeinspannung errechnet
sich die Federsteifigkeit zu |
|
| und bei gelenkiger Lagerung zu |
|
|
| Gelenk |
| Gelenke werden durch Setzen
des Häkchens aktiviert. |
| Über die %-Angabe kann eine Gelenkfeder
gesetzt werden. 0% entspricht einem Vollgelenk. |
|
 |
|
|
| Lagerbreite |
Die Auflagerbreite ist für
den Nachweis der Lagerpressung (optional) erforderlich.
Für eine Breite = 0 wird der Nachweis für dieses
Lager nicht geführt. |
 |
|
| Die Auflagertiefe wird vom Programm automatisch
ermittelt. |
| Der Beiwert kc,90 zur Berücksichtigung der Teilflächenpressung kann automatisch ermittelt oder optional vorgegeben werden. |
 |
|
|
| Bei Trägertypen, bei denen mehrere Querschnittsteile
Kontakt zum Auflager haben (z.B. I-Querschnitt mit seitlich an
den Steg befestigten Gurten), wird lediglich der Steg zur Übertragung
der Kräfte herangezogen. |
|
 |
Das Löschen des gesamten Lagers
erfolgt durch einen Klick auf den Mülleimerbutton. |
|
|
|
|
 |
|
 |
|
|
|
| Lastbild |
 |
|
| Ein Lastbild (LB) ist entweder eine Linienlast
oder eine Einzellast. |
Die Eigenschaften eines Lastbildes sind
durch seine geometrische Lage, seine Lastordinaten und
seine Zuordnung
zu Lastfall und Einwirkung gegeben. |
| Ein Lastbild ist ein auswählbares
Objekt im Konstruktionsfenster. |
|
 |
|
|
|
|
|
| Lastfall |
 |
|
| Ein Lastfall (LF) ist immer eindeutig
einer Einwirkung zugeordnet. |
| Er kann beliebig viele Lastbilder aufnehmen.
Die Lastbilder eines Lastfalles wirken immer gemeinsam. |
| Ein Lastfall ist daher die kleinste auswählbare
Einheit bei der Ergebnisdarstellung. |
| Die Rechenergebnisse (Verformungen und
Schnittgrößen) eines einzelnen Lastbildes
können folglich nur dann betrachtet werden, wenn
dem Lastfall keine weiteren Lastbilder zugeordnet sind. |
Eine Differenzierung zwischen den Ergebnisanteilen
unterschiedlicher Lastbilder innerhalb eines Lastfalls
kann auch bei der Extremwertbildung nicht mehr vorgenommen werden. |
Neben der Lastfallnummer und der Lastfallbezeichnung
ist der Lastfalltyp die wesentliche Eigenschaft
eines Lastfalls. |
Der Lastfalltyp legt fest, ob die Schnittgrößen
und Verformungen des Lastfalls additiv oder gruppenweise alternativ
zu überlagern sind. |
| Eine additive Überlagerung besagt,
dass die Verformungen und Schnittgrößen eines
Lastfalles bei der Extremwertbildung dann berücksichtigt
werden, wenn sie ungünstig wirken. |
Weist der Lastfalltyp die Zuordnung zu
einer alternativen Gruppe aus, so wird bei der Extremwertbildung nur
der Lastfall berücksichtigt, der sich am betrachteten
Punkt am ungünstigsten von allen Lastfällen dieser
Gruppe herausstellt. |
| Speziell bei den pcae-Durchlaufträgern
gibt es zusätzlich den Lastfalltyp aufteilen. |
| Dieser nur für Verkehrslasten relevante
Typ versteht sich als Eingabehilfe. |
Ein über den gesamten Träger
definiertes Streckenlastbild kann hierdurch mehreren
Lastfällen gleichzeitig
zugeordnet werden; und
zwar für jeden Trägerabschnitt jeweils einem (Unter)-Lastfall. |
| Was zunächst wie ein Widerspruch
zum Vorangesagten aussieht, erweist sich hier als bequeme Eingabe. |
| Würde diese Möglichkeit nicht
bestehen, müssten (bei einem n-Feldträger)
n Streckenlasten definiert und n verschiedenen Lastfällen
zugeordnet werden, um sicherzustellen, dass eine feldweise
korrekte Überlagerung durchgeführt wird. |
Lastfälle vom Typ aufteilen werden im Konstruktionsfenster mit einem # gekennzeichnet
und tun damit kund,
dass es sich im Grunde genommen
um eine Gruppe additiver Lastfälle handelt. |
|
|
|
|
| Einwirkung |
 |
|
| Eine Einwirkung kann beliebig viele Lastfälle enthalten. |
| Neben der Einwirkungsnummer und der Einwirkungsbezeichnung
ist der Einwirkungstyp die wesentliche Eigenschaft einer Einwirkung. |
| Er legt fest, ob die der Einwirkung zugeordneten
Lastfälle ständige Lasten (wie etwa Eigengewicht)
oder veränderliche Lasten (Verkehrslasten) enthalten. |
| Die Ergebnisse einer Einwirkung (es sind
dies die extremalen Schnittgrößen und Verformungen
der zur Einwirkung gehörenden Lastfälle) können
im Ergebnisfenster eingesehen werden. |
| Die Lastbilder derselben Einwirkung werden
im Konstruktionsfenster in einem eigenen Rahmen dargestellt. |
Lastbilder, Lastfälle und Einwirkungen
in der hier vorgestellten Form stellen gemeinsam ein
Ordnungsprinzip dar,
das auch den neuen Normen (wie etwa der DIN 1045-1),
die in starker Anlehnung an Eurocode entwickelt wurden, gerecht wird. |
Der Anwender von 4H-DLHWD sollte
das Ordnungsprinzip nutzen, um das vorliegende Problem möglichst
übersichtlich darzustellen. |
| Weitere Informationen zum Thema finden
Sie im Handbuch das pcae-Nachweiskonzept. |
|
|
|
|
 |
|
| An dieser Stelle können streckenweise
Belastungen in Form von Linienlasten verschiedenster Lastgeometrien,
Eigengewichts- oder Temperaturlasten erzeugt werden. |
| Die Lasten können an beliebiger Stelle auf
dem Durchlaufträger angeordnet sein. Sie werden bezüglich zweier
Ankerpunkte definiert und verwaltet. |
|
 |
| Es ist zu beachten, dass es
sich bei den eingegebenen Lasten immer um Vertikallasten handelt;
Horizontallasten können nicht verarbeitet werden! |
|
|
|
| Das Fenster zur Eingabe der Linienlasten
wird wie folgt geöffnet |
|
| Stab oder Stabzug markieren |
 |
Button klicken |
 |
Button klicken |
|
|
|
Ist bereits eine Linienlast vorhanden, kann
das Eingabefenster auch durch einen Doppelklick auf die Last
im Haupteingabefenster geöffnet werden. |
|
 |
|
 |
|
| Als Lastarten können Temperatur-, Eigengewichte, Linienlasten, Temperaturlasten und
Flächenlasten gewählt werden. |
| Flächenlasten werden relevant beim Deckentyp Balkendecke. Hier werden automatisch
die in Abhängigkeit vom gewählten Balkenabstand resultierenden
Linienlasten auf die Balken vom Programm berechnet. |
|
|
|
|
| Über die Lastgeometrie-Listbox
können verschiedene Lastfiguren gewählt werden. |
|
|
|
|
|
| Die Anker legen Anfangs- und
Endpunkt der Lastausdehnung fest. |
|
|
|
|
| Bei trapezförmigen Lasten
müssen die Lastordinaten am Anfang und am Ende eingegeben werden. |
| Bei linearen Lastverläufen wird
nur eine Ordinate erwartet. |
Im Falle einer
Eigengewichtslast wird die Materialwichte γ und bei
einer Temperaturlast die Temperaturänderung in °K eingegeben. |
|
|
|
|
| Die Zuordnung zum Lastfall
erfolgt über eine Listbox. |
Ein Klick auf den Einwirkungsbutton öffnet die Einwirkungs-
und Lastfallverwaltung. |
|
 |
|
|
Über die Listbox Lastangriff besteht die Möglichkeit,
Bemessungs-querkräfte aus auflagernahen Linienlasten gemäß /16/, 6.1.7(3),
und /41/, NCI Zu 6.1.7 (NA.6), abzumindern. |
Bedingung für die Abminderung ist, dass die Last auf der Oberseite des
Biegestabes wirkt und dass sich das Lager an der Unterseite des Trägers befindet.
Diese Bedingung ist vom Benutzer zu überprüfen! |
| Bei Verwendung von Steico-Stegträgern (Steico Wall oder Steico Joist) wird im Programm
keine Abminderung vorgenommen, da die Belastbarkeiten von Steico-Trägern in Versuchen ermittelt wurden! |
|
|
|
|
 |
eine Last kann durch einen Klick auf den Mülleimer gelöscht werden |
|
|
|
|
|
 |
|
Es kann entweder eine punktförmige
Einzellast (Kraft oder Biegemoment) oder eine Lagerzwangsverformung
erzeugt werden. |
| Die Einzellast kann an beliebiger Stelle
auf dem Durchlaufträger angeordnet sein. |
| Die Zwangsverformung ist stets einem Lager
zuzuordnen. |
|
| Das Fenster zur Eingabe der Punktlasten
wird wie folgt geöffnet |
|
 |
Stabpunkt markieren |
 |
Button klicken |
 |
Button klicken |
|
|
|
 |
|
Als Lastart kann eine
Einzellast- oder Lagerzwangsverformung
(Drehung oder Verschiebung) gewählt werden. |
|
|
|
|
| Der Anker und der Abstand a vom
Anker legen den Lastangriffspunkt fest. |
|
|
|
|
| Als Last kann eine Vertikallast
F und/oder ein Moment M eingegeben werden. |
Im Falle einer Zwangsverformung
werden Verschiebung Δw in
z-Richtung und/oder eine Verdrehung Δφ eingegeben. |
|
|
|
|
| Die Zuordnung zum Lastfall
erfolgt über eine Listbox. |
| Ein Klick auf den Einwirkungsbutton öffnet die Einwirkungs- und
Lastfallverwaltung. |
|
 |
|
|
| Über die Listbox Lastangriff besteht die Möglichkeit,
Bemessungs-querkräfte aus auflagernahen Linienlasten gemäß /16/, 6.1.7(3), abzumindern. |
Bedingung für die Abminderung ist, dass die Last auf der Oberseite des
Biegestabes wirkt und dass sich das Lager an der Unterseite des Trägers befindet.
Diese Bedingung ist vom Benutzer zu überprüfen! |
|
|
|
|
 |
eine Last kann durch einen Klick auf
den Mülleimer gelöscht werden |
|
|
|
|
|
|
 |
|
| Bemessung für Biegung und Zug |
 |
|
|
|
|
| Bemessung für Biegung und Druck |
 |
|
|
|
|
| Bemessung für Biegung und Druck nach dem Ersatzstabverfahren |
 |
|
|
|
|
| Schub aus Querkraft |
 |
|
|
|
| Bemessung von Holzwerkstoffplatten |
 |
|
| Die Scheibenspannungen werden in
die Richtungen parallel und senkrecht zur Faser umgerechnet. |
| Die Bemessung erfolgt für Zug und
Druck parallel und senkrecht zur Faser sowie für Schub. |
Zusätzlich wird die Interaktionsbedingung
gemäß /41/, NCI NA.6.2.5, Gleichung (NA.58)
ausgewertet (s.a. /2/, E10.2.2). |
|
|
|
|
|
|
|
 |
|
| Allgemeines |
 |
|
Brettsperrholz besteht aus Holzschichten, die wechselseitig in orthogonal zueinander liegender
Faserrichtung
verklebt sind. Der Lastabtrag entspricht dem einer orthotropen Platte. |
Der Einfluss der schubweichen Querlagen hat dabei einen erheblichen
Einfluss auf das Trag-
und Verformungsverhalten. |
| Der Lastabtrag ist zwar zweiachsig, die heute produzierten Brettsperrholzplatten werden aber
aufgrund ihres Aufbaus und den geometrischen Randbedingungen der Bauwerke fast ausschließlich für
einachsigen Lastabtrag eingesetzt. |
Daher reichen Berechnungsverfahren, die auf einer eindimensionalen
Balkentheorie beruhen, für eine Bemessung
im Regelfall aus. |
Das Programm 4H-DLHWD führt die Berechnung nach
der Theorie des so genannten Timoshenko-Balkens
(transversal-schubnachgiebiger Balken) durch. |
|
|
| Berechnung der Querschnittswerte |
 |
|
Nachfolgend werden die wichtigsten für die Berechnung erforderlichen Formeln angegeben.
Eine ausführliche
Herleitung kann /53/, /64/ oder /67/ entnommen werden. |
|
| Schwerpunkt des Gesamtquerschnitts |
|
| Biegesteifigkeit |
|
Da die Querlagen aufgrund des großen Verhältnisses E0/E90 ≈ 30
keinen nennenswerten Anteil zur
Gesamtsteifigkeit liefern, wird im Programm die Annahme E90 = 0
getroffen. |
|
| Schubfläche |
|
|
|
| Querschnittsspannungen |
 |
|
| Biegespannungen |
|
|
| Schubspannungen |
|
 |
|
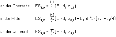
Für das statische Moment ESx,i n. /41/, NCI
NA 5.6.22, gilt allgemein |
|
|
|
 |
|
|
| Damit betragen die statischen Momente der Schicht i |
|
|
|
|
|
| Nachweis im Grenzzustand der Tragfähigkeit |
 |
|
| Die Für Biegung gilt gemäß /67/, 5.5.1 |
|
| Für Schub in den Längslagen gilt gemäß /67/, 5.7.1 |
|
| Für den Rollschub in den Querlagen gilt entsprechend |
|
|
|
|
|
 |
|
| Allgemeines |
 |
|
| Der Brandschutznachweis wird entspr. /64/, /65/ und
/66/ geführt. Im Programm ist das Verfahren mit reduzierten
Querschnitten entspr. /64/ 4.2.2, realisiert. |
| Das Brandverhalten von
Brettsperrholz weist aufgrund der Verklebung der Schichten
Besonderheiten auf, die berücksichtigt werden müssen. |
| Der Feuerwiderstand wird bestimmt über die Berechnung
des Abbrands, der sich aus der Abbrandrate, die
näherungsweise als konstant über die gesamte Branddauer angenommen wird, ergibt. |
| Die Norm unterscheidet zwischen der eindimensionalen Abbrandrate β0 und der ideellen Abbrandrate βn. |
| Die ideelle Abbrandrate βn berücksichtigt
zusätzlich die Effekte von Eckausrundungen und Rissen. |
|
|
| anfänglich geschützte Bauteile |
 |
|
| Die Zeitdauer tf bis zum Versagen des
Schutzes ist definiert durch das Abfallen der Bekleidung. |
Da der Querschnitt nach dem Versagen der Bekleidung einer erhöhten
Brandraumtemperatur ausgesetzt ist,
stellt sich zunächst eine erhöhte Abbrandrate ein. |
| Nach ca. 5-10 min nimmt die Abbrandgeschwindigkeit
wieder ab, da die entstehende Holzkohleschicht einen wärmedämmenden Einfluss hat. |
| Aus diesen Beobachtungen ist in /65/, 3.4.3, eine
vereinfachte Methode für anfänglich geschützte Bauteile angegeben. |
| Dabei
wird von zwei Brandphasen mit unterschiedlicher Abbrandrate ausgegangen, die wie folgt definiert sind. |
|
|
| Zeit bis zum Beginn des Abbrands |
|
|
|
| Zeit bis zum Versagen des Schutzes |
|
|
|
Zeitpunkt ab dem die Abbrandgeschwindig-
keit
wieder der für ungeschützte Bauteile entspricht |
|
|
|
|
|
|
|
| Brandverläufe geschützter und ungeschützter Bauteile nach /65/, 3.4.3.1, Bild 3.4 |
|
|
|
|
|
|
| 1 = Brandverlauf mit der Abbrandrate βn für ungeschützte Bauteile |
| 2a = Brandverlauf anfänglich
geschützter Bauteile nach dem Abfall der Bekleidung |
| 2b = Brandverlauf anfänglich
geschützter Bauteile nach Überschreiten der Abbrandtiefe dchar =
25 mm |
|
Die Berechnung der Abbrandraten
in den verschiedenen Brandphasen anfänglich geschützter Bauteile
erfolgt
gemäß /65/, 3.4.3.2. |
|
|
| Brandverhalten von Brettsperrholz |
 |
|
| Entscheidend für das Brandverhalten von Brettsperrholz
ist die Temperaturbeständigkeit der Verklebung. |
| Versuche haben gezeigt,
dass bei Verwendung nicht temperaturbeständiger Klebstoffe (z.B. PUR),
die abgebrannten Kohleschichten abfallen, wodurch der wärmedämmende
Effekt der verkohlten Schicht nicht mehr gegeben ist. |
| Daraus resultiert
eine erhöhte Abbrandrate nach dem Abfallen der Schicht. |
| Bei Verwendung temperaturbeständiger Klebstoffe ist das
Verhalten ähnlich dem von Vollholzquerschnitten. |
|
|
| Bemessung nach dem vereinfachten
Verfahren mit reduziertem Querschnitt gem. /65/, 4.2.2 |
 |
|
| Die Bemessung erfolgt nach der Bedingung /65/, 2.4.1 (2)P, Gl. (2.7) |
|
| Der Bemessungswert Ed,fi der Beanspruchungen im
Brandfall darf gemäß /64/, 5.3, mit einem abgeminderten Reduktionsbeiwert ψ
berechnet werden. |
Der Bemessungswert der Beanspruchbarkeit im Brandfall Rd,t,fi darf
nach /65/, 2.3 (1)P, mit den 20%-Fraktilwerten
der Festigkeiten berechnet werden, so dass sich erhöhte Festigkeiten gegenüber den
charakteristischen Werten ergeben. |
| Nach /65/, 2.3 (1)P, Gl (2.1) gilt |
|
| Gemäß /65/, 4.2.2 (5), ist kmod,fi bei der
vereinfachten Methode mit reduzierten Querschnitten gleich 1 zu setzen. |
|
|
|
|
 |
|
| Personeninduzierte Schwingungen können bei Wohnraumdecken
unangenehme Empfindungen verursachen. |
| Daher ist entspr. EC 5 für
Wohnungsdecken aus Holz ein Nachweis der Schwingungen zu führen. |
| Hierbei sind im Einzelnen drei Kriterien zu überprüfen |
|
 |
| Frequenzkriterium |
| Die niedrigste Eigenfrequenz sollte 8 Hz betragen, ansonsten sind besondere
Untersuchungen erforderlich. |
|
|
|
 |
| Steifigkeitskriterium |
| Die größte vertikale Anfangsdurchbiegung w(1 kN) infolge einer konzentrierten
vertikalen statischen Einzellast sollte einen bestimmten Grenzwert nicht überschreiten. |
|
|
|
 |
| Einheitsimpulsgeschwindigkeit |
Die Einheitsimpulsgeschwindigkeitsreaktion, d. h. der maximale
Anfangswert der vertikalen
Schwingungs-
geschwindigkeitsamplitude der Decke (in m/s)
infolge eines an derjenigen Stelle der Decke aufgebrachten
idealen Einheitsimpulses (1 Ns), der die größte Eigenfrequenz
erzeugt, muss unter einem Grenzwert bleiben. |
|
|
|
|
| Berechnungsgleichungen gem. DIN EN 1995-1-1 |
 |
|
Gemäß DIN EN 1995-1-1, 7.3.3 (4), darf die kleinste Eigenfrequenz für rechteckige, allseitig gelenkig gelagerte
Decken berechnet werden zu |
|
| O.g. Gleichung gilt für einen Einfeldbalken. Die Plattenwirkung kann gemäß /2/, E 9.3 (3),
und /53/, 3.3.1, durch Multiplikation mit dem Quersteifigkeitsbeiwert f(α) erfasst werden. |
|
| Der Einfluss eines zweiten Feldes kann gem. /2/, E 9.3 (3), Tab. 9/3, durch einen weiteren Beiwert kf erfasst werden. |
|
| Gemäß DIN EN 1995-1-1, 7.3.3 (2), gilt als Steifigkeitskriterium für Wohnungsdecken |
|
| und für die Einheitsimpulsgeschwindigkeitsreaktion |
|
Der empfohlene Bereich der Grenzwerte für a und b sowie deren Zusammenhang kann DIN EN 1995-1-1, 7.3.3 (2),
Bild 7.2, entnommen werden. |
|
Gemäß DIN EN 1995-1-1, 7.3.3 (5), darf die Einheitsimpulsgeschwindigkeitsreaktion für rechteckige, allseitig
gelenkig gelagerte Decke berechnet werden zu |
|
| n40 wird
berechnet aus |
|
|
Wird im Programm die Option Näherungsverfahren gewählt, werden die Nachweisgrößen mit den o.g.
Formeln berechnet. |
Wird die Option numerische Lösung gewählt,
erfolgt die Berechnung der Eigenfrequenz, der Durchbiegungen (für
das Steifigkeitskriterium) und des Wertes n40 mittels einer Fourierreihenentwicklung. S. hierzu /51/ und /52/. |
|
|
|
 |
|
Nach dem Forschungsvorhaben /54/ der TU München und /50/ wurden
Konstruktionsregeln für die Praxis entwickelt,
die im Programm 4H-HDSN, Schwingnachweis, umgesetzt werden. |
| Gemäß /50/, 3.1 sind folgende
Kriterien zu untersuchen |
|
 |
| Frequenzkriterium |
| In Abhängigkeit der
geplanten Nutzung sollte die niedrigste
Eigenfrequenz einen Grenzwert fgrenz nicht
unterschreiten, ansonsten sind besondere
Untersuchungen erforderlich. |
|
|
|
 |
| Steifigkeitskriterium |
| Die größte
vertikale Anfangsdurchbiegung w(2 kN) infolge einer konzentrierten
vertikalen statischen Einzellast sollte einen bestimmten
Grenzwert nicht überschreiten. |
|
|
|
 |
| konstruktive Anforderungen |
| Bestimmte
konstruktive Anforderungen (Rohdecke, Schüttung, Estrich) sind
zu erfüllen. |
|
|
|
|
| Berechnungsgleichungen |
 |
|
Für die Berechnung der Eigenfrequenz und der Durchbiegungen können die gleichen Verfahren und
Gleichungen
wie in DIN EN 1995-1-1 verwendet werden. |
Beim Steifigkeitskriterium ist zu beachten, dass gemäß /50/, 3.3, die Durchlaufwirkung nicht berücksichtigt
werden darf. |
Da das Programm bei numerischer Berechnung in der Lage ist, mit nachgiebigen Auflagerachsen zu rechnen
und dies u.U. zu größeren Verformungen führt, wird empfohlen, in diesem Falle die Durchlaufwirkung
doch
zu berücksichtigen. |
Die einzuhaltenden Grenzwerte und die konstruktiven Anforderungen können /50/, 3.5, Tab. 2 und
3,
entnommen werden. |
|
|
|
 |
| zur Hauptseite 4H-DLHWD, Holzträger Wohnraumdecke |
 |
|
 |